বাংলাদেশ অর্থনৈতিক অঞ্চল কর্তৃপক্ষ নিয়োগ পরীক্ষার প্রশ্ন সমাধান

প্রিয় চাকরিপ্রত্যাশীগণ, বাংলাদেশ অর্থনৈতিক অঞ্চল কর্তৃপক্ষ নিয়োগ পরীক্ষার প্রশ্ন সমাধান সংক্রান্ত ব্লগে আপনাদের স্বাগতম। বাংলাদেশ অর্থনৈতিক অঞ্চল কর্তৃপক্ষ (বেজা), বাংলাদেশ অর্থনৈতিক অঞ্চলের উন্নয়নের লক্ষ্যে গঠিত একটি সরকারি প্রতিষ্ঠান। আপনারা জানেন, যেকোন সরকারি চাকরির পরীক্ষাগুলোর ক্ষেত্রে বিগত সালে আসা প্রশ্নগুলো অত্যন্ত গুরুত্বপূর্ণ। কেননা বিগত সালের প্রশ্ন সমাধানের মাধ্যমে মূল পরীক্ষার প্রশ্ন সম্পর্কে বাস্তব ধারণা লাভ করা যায়। যা পরবর্তী সামগ্রিক পরীক্ষা প্রস্তুতিকে অনেকটাই সহজ এবং কার্যকর করে তোলে।
বিগত সালের প্রশ্ন সমাধানের গুরুত্ব বিবেচনা করে, আমরা ইতোমধ্যে বিভিন্ন চাকরির বিগত সালের প্রশ্ন সমাধান সংক্রান্ত সিরিজ প্রকাশ করেছি। এরই ধারাবাহিকতায় আজকের ব্লগে অথেনটিক রেফারেন্স এবং ব্যাখ্যাসহ বাংলাদেশ অর্থনৈতিক অঞ্চল কর্তৃপক্ষ নিয়োগ পরীক্ষার প্রশ্ন সমাধান প্রকাশ করা হয়েছে। আশা করি এটি আপনাদের প্রস্তুতির ক্ষেত্রে কাজে আসবে।
বাংলাদেশ অর্থনৈতিক অঞ্চল কর্তৃপক্ষ নিয়োগ পরীক্ষার প্রশ্ন সমাধান দেখুন
বাংলাদেশ অর্থনৈতিক অঞ্চল কর্তৃপক্ষ (BEZA) | সহকারী ব্যবস্থাপক পদের প্রশ্ন সমাধান ২০১৮
প্রশ্ন সংখ্যা: ৮০
প্রশ্ন ১. বাংলা সাহিত্যে কিশোর কবি কার উপাধি?
ক) আব্দুল করিম
খ) রামনারায়ণ
গ) ফররুখ আহমেদ
ঘ) সুকান্ত ভট্রাচার্য
সঠিক উত্তর: ঘ) সুকান্ত ভট্রাচার্য
Live MCQ Analytics™: সঠিক উত্তরদাতা: 89%, ভুল উত্তরদাতা: 3%, উত্তর করেননি: 6%
ব্যাখ্যা: বাংলা সাহিত্যের কিশোর কবি উপাধি সুকান্ত ভট্টাচার্যের। তিনি মাত্র ২০ বছর ৯ মাস বেচে ছিলেন৷ তার বিখ্যাত কাব্যগ্রন্থগুলো হলো পূর্বাভাস, ছাড়পত্র, ঘুম নেই।
Source: LiveMCQ Lecture
প্রশ্ন ২. ইতিহাস বিষয়ে অভিজ্ঞ যিনি – এর সঠিক বাক্য সংকোচন হলো:
ক) ইতিহাসবিদ
খ) ইতিহাসবেত্তা
গ) ঐতিহাসিক
ঘ) ইতিহাসবিদ্যা
সঠিক উত্তর: খ) ইতিহাসবেত্তা
Live MCQ Analytics™: সঠিক উত্তরদাতা: 87%, ভুল উত্তরদাতা: 6%, উত্তর করেননি: 5%
ব্যাখ্যা: ইতিহাস বিষয়ে অভিজ্ঞ যিনি – ইতিহাসবেত্তা। ইতিহাস রচনা করেন যিনি = ঐতিহাসিক।
উৎসঃ বাংলা ভাষার ব্যাকরণ-নবম দশম শ্রেণী এবং বাংলা একাডেমী
প্রশ্ন ৩. ‘পৃথিবী’ এর সমার্থক শব্দ কোনটি?
ক) সলিল
খ) হিমাংশু
গ) দ্যুলোক
ঘ) বসুন্ধরা
সঠিক উত্তর: ঘ) বসুন্ধরা
Live MCQ Analytics™: সঠিক উত্তরদাতা: 90%, ভুল উত্তরদাতা: 4%, উত্তর করেননি: 4%
ব্যাখ্যা: পৃথিবী শব্দের সঠিক প্রতিশব্দ – বসুন্ধরা। এর আরো কয়েকটি প্রতিশব্দ – ধরা, ধরণী, ধরিত্রী, বসুন্ধরা, বসুধা, অবনি, ক্ষিতি, মহী, অখিল ইত্যাদি।
উৎসঃ বাংলা ভাষা ও সাহিত্য জিজ্ঞাসা-ড. সৌমিত্র শেখর।
প্রশ্ন ৪. এবার আমি পরীক্ষায় উত্তীর্ণ হয়েছি – বাক্যটি কোন কালের উদাহরণ?
ক) ঘটমান বর্তমান
খ) পুরাঘটিত বর্তমান
গ) পুরাঘটিত অতীত
ঘ) নিত্যবৃত্ত অতীত
সঠিক উত্তর: খ) পুরাঘটিত বর্তমান
Live MCQ Analytics™: সঠিক উত্তরদাতা: 81%, ভুল উত্তরদাতা: 8%, উত্তর করেননি: 9%
ব্যাখ্যা: পূর্বেই শেষ হয়ে যাওয়া কোনো ক্রিয়ার ফল যদি এখনো বর্তমান থাকে তবে তাকে পুরাঘটিত বর্তমান বলে। যেমন, বুকের রক্তে লিখেছি একটি নাম। এ বার আমি পরীক্ষায় উত্তীর্ণ হয়েছি। এতক্ষণ আমি অঙ্ক করেছি।
উৎসঃ বাংলা ভাষার ব্যাকরণ-নবম দশম শ্রেণী এবং বাংলা একাডেমী।
প্রশ্ন ৫. নিচের কোনটি সমার্থক শব্দযোগে দ্বন্দ্ব সমাস?
ক) নাক -মুখ
খ) লাভ – লোকসান
গ) দেখা – শোনা
ঘ) খাতা -পত্র
সঠিক উত্তর: ঘ) খাতা -পত্র
Live MCQ Analytics™: সঠিক উত্তরদাতা: 82%, ভুল উত্তরদাতা: 10%, উত্তর করেননি: 7%
ব্যাখ্যা: খাতা-পত্র, জন-মানব, হাট-বাজার, নাম-ডাক, লজ্জা-শরম, ঘর – দুয়ার হলো সমার্থক দ্বন্দ্ব সমাস।
উৎসঃ বাংলা ভাষা ও সাহিত্য জিজ্ঞাসা-ড. সৌমিত্র শেখর
প্রশ্ন ৬. নিচের কোন বানানটি শুদ্ধ?
ক) নিখুঁত
খ) প্রতিকুল
গ) সুশীল
ঘ) নিসম্বল
সঠিক উত্তর: “বাতিল করা হয়েছে”
Live MCQ Analytics™: সঠিক উত্তরদাতা: 0%, ভুল উত্তরদাতা: 0%, উত্তর করেননি: 0%
ব্যাখ্যা: এই প্রশ্ন সহ কয়েক লাখ প্রশ্নের অথেনটিক ব্যাখ্যা দেখতে Live MCQ অ্যাপ ইন্সটল করুন।
প্রশ্ন ৭. ‘গোঁফ খেজুরে’ বাগধারাটির অর্থ কি?
ক) চাটুকার
খ) অসাবধান
গ) পক্ষপাতিত্ত্ব
ঘ) নিতান্ত অলস
সঠিক উত্তর: ঘ) নিতান্ত অলস
Live MCQ Analytics™: সঠিক উত্তরদাতা: 86%, ভুল উত্তরদাতা: 6%, উত্তর করেননি: 6%
ব্যাখ্যা: এই প্রশ্ন সহ কয়েক লাখ প্রশ্নের অথেনটিক ব্যাখ্যা দেখতে Live MCQ অ্যাপ ইন্সটল করুন।
প্রশ্ন ৮. কারক ও বিভক্তি নির্ণয় করুন। “ঘোড়াকে চাবুক মার”
ক) কর্তৃকারকে ৩ য়
খ) কর্তৃকারকে শূন্য
গ) করণে শুন্য
ঘ) করণে ৩য়া
সঠিক উত্তর: গ) করণে শুন্য
Live MCQ Analytics™: সঠিক উত্তরদাতা: 29%, ভুল উত্তরদাতা: 40%, উত্তর করেননি: 30%
ব্যাখ্যা: এই প্রশ্ন সহ কয়েক লাখ প্রশ্নের অথেনটিক ব্যাখ্যা দেখতে Live MCQ অ্যাপ ইন্সটল করুন।
প্রশ্ন ৯. ‘উচ্ছেদ’ এর সঠিক সন্ধি বিচ্ছেদ হলো:
ক) উচ + ছেদ
খ) উচ্চ + ছেদ
গ) উৎ + ছেদ
ঘ) উচ্ছে + উদ
সঠিক উত্তর: গ) উৎ + ছেদ
Live MCQ Analytics™: সঠিক উত্তরদাতা: 94%, ভুল উত্তরদাতা: 0%, উত্তর করেননি: 5%
ব্যাখ্যা: এই প্রশ্ন সহ কয়েক লাখ প্রশ্নের অথেনটিক ব্যাখ্যা দেখতে Live MCQ অ্যাপ ইন্সটল করুন।
প্রশ্ন ১০. বিপদ এবং দুঃখ এক সময় আসে – এটি কোন বাক্যের উদাহরণ?
ক) সরল বাক্য
খ) যৌগিক বাক্য
গ) মিশ্র বাক্য
ঘ) জটিল বাক্য
সঠিক উত্তর: খ) যৌগিক বাক্য
Live MCQ Analytics™: সঠিক উত্তরদাতা: 70%, ভুল উত্তরদাতা: 21%, উত্তর করেননি: 7%
ব্যাখ্যা: এই প্রশ্ন সহ কয়েক লাখ প্রশ্নের অথেনটিক ব্যাখ্যা দেখতে Live MCQ অ্যাপ ইন্সটল করুন।
প্রশ্ন ১১. ‘রফতানি’ কোন শব্দ?
ক) ইংরেজি
খ) তুর্কি
গ) চিনা
ঘ) ফারসি
সঠিক উত্তর: ঘ) ফারসি
Live MCQ Analytics™: সঠিক উত্তরদাতা: 74%, ভুল উত্তরদাতা: 6%, উত্তর করেননি: 19%
ব্যাখ্যা: এই প্রশ্ন সহ কয়েক লাখ প্রশ্নের অথেনটিক ব্যাখ্যা দেখতে Live MCQ অ্যাপ ইন্সটল করুন।
প্রশ্ন ১২. আগুন এর সমার্থক শব্দ কোনটি?
ক) কুন্তাল
খ) লোচন
গ) পাবক
ঘ) তমস্যা
সঠিক উত্তর: গ) পাবক
Live MCQ Analytics™: সঠিক উত্তরদাতা: 91%, ভুল উত্তরদাতা: 2%, উত্তর করেননি: 6%
ব্যাখ্যা: এই প্রশ্ন সহ কয়েক লাখ প্রশ্নের অথেনটিক ব্যাখ্যা দেখতে Live MCQ অ্যাপ ইন্সটল করুন।
প্রশ্ন ১৩. সমাস নির্ণয় করুন: শতাব্দী
ক) দ্বিগু সমাস
খ) অলুক বহুব্রীহি
গ) উপপদ তৎপুরুষ
ঘ) অব্যয়ীভাব সমাস
সঠিক উত্তর: ক) দ্বিগু সমাস
Live MCQ Analytics™: সঠিক উত্তরদাতা: 85%, ভুল উত্তরদাতা: 5%, উত্তর করেননি: 9%
ব্যাখ্যা: এই প্রশ্ন সহ কয়েক লাখ প্রশ্নের অথেনটিক ব্যাখ্যা দেখতে Live MCQ অ্যাপ ইন্সটল করুন।
প্রশ্ন ১৪. যা আঘাত পায়নি – এর সঠিক বাক্য সংকোচন হলো:
ক) অক্ষত
খ) অনাহত
গ) অপরিবর্তিত
ঘ) অচিন্তা
সঠিক উত্তর: খ) অনাহত
Live MCQ Analytics™: সঠিক উত্তরদাতা: 69%, ভুল উত্তরদাতা: 19%, উত্তর করেননি: 10%
ব্যাখ্যা: এই প্রশ্ন সহ কয়েক লাখ প্রশ্নের অথেনটিক ব্যাখ্যা দেখতে Live MCQ অ্যাপ ইন্সটল করুন।
প্রশ্ন ১৫. বাংলা বর্ণমালায় অর্ধ মাত্রার বর্ণ কয়টি?
ক) ৮
খ) ১০
গ) ১১
ঘ) ১৪
সঠিক উত্তর: ক) ৮
Live MCQ Analytics™: সঠিক উত্তরদাতা: 82%, ভুল উত্তরদাতা: 9%, উত্তর করেননি: 8%
ব্যাখ্যা: এই প্রশ্ন সহ কয়েক লাখ প্রশ্নের অথেনটিক ব্যাখ্যা দেখতে Live MCQ অ্যাপ ইন্সটল করুন।
প্রশ্ন ১৬. নিচের কোনটি দন্তমূলীয় বর্ণ?
ক) প
খ) ধ
গ) হ
ঘ) শ
সঠিক উত্তর: খ) ধ
Live MCQ Analytics™: সঠিক উত্তরদাতা: 81%, ভুল উত্তরদাতা: 8%, উত্তর করেননি: 9%
ব্যাখ্যা: এই প্রশ্ন সহ কয়েক লাখ প্রশ্নের অথেনটিক ব্যাখ্যা দেখতে Live MCQ অ্যাপ ইন্সটল করুন।
প্রশ্ন ১৭. শুদ্ধ বাক্য কোনটি?
ক) আমি সাক্ষী দিব না।
খ) একথা প্রমানিত হয়েছে।
গ) বিধি লঙ্ঘন হয়েছে।
ঘ) দৈন্যতা প্রশংসনীয় নয়।
সঠিক উত্তর: “বাতিল করা হয়েছে”
Live MCQ Analytics™: সঠিক উত্তরদাতা: 0%, ভুল উত্তরদাতা: 0%, উত্তর করেননি: 0%
ব্যাখ্যা: এই প্রশ্ন সহ কয়েক লাখ প্রশ্নের অথেনটিক ব্যাখ্যা দেখতে Live MCQ অ্যাপ ইন্সটল করুন।
প্রশ্ন ১৮. ‘তিলোত্তমাসম্ভব’ কাব্য গ্রন্থের রচয়িতা কে?
ক) মাইকেল মধুসূদন দত্ত
খ) সত্যেন্দ্রনাথ দত্ত
গ) কায়কোবাদ
ঘ) শরৎচন্দ্র চট্রোপাধ্যায়
সঠিক উত্তর: ক) মাইকেল মধুসূদন দত্ত
Live MCQ Analytics™: সঠিক উত্তরদাতা: 90%, ভুল উত্তরদাতা: 1%, উত্তর করেননি: 8%
ব্যাখ্যা: এই প্রশ্ন সহ কয়েক লাখ প্রশ্নের অথেনটিক ব্যাখ্যা দেখতে Live MCQ অ্যাপ ইন্সটল করুন।
প্রশ্ন ১৯. ‘বীরবল’ কোন কবির ছদ্মনাম?
ক) মীর মোশাররফ হোসেন
খ) প্রমথ চৌধুরী
গ) বিমল ঘোষ
ঘ) সমরেশ বসু
সঠিক উত্তর: খ) প্রমথ চৌধুরী
Live MCQ Analytics™: সঠিক উত্তরদাতা: 92%, ভুল উত্তরদাতা: 2%, উত্তর করেননি: 5%
ব্যাখ্যা: এই প্রশ্ন সহ কয়েক লাখ প্রশ্নের অথেনটিক ব্যাখ্যা দেখতে Live MCQ অ্যাপ ইন্সটল করুন।
প্রশ্ন ২০. ‘খাতক’ এর বিপরীতার্থক শব্দ কোনটি?
ক) খাতক
খ) ভেজাল
গ) পাইকারি
ঘ) মহাজন
সঠিক উত্তর: ঘ) মহাজন
Live MCQ Analytics™: সঠিক উত্তরদাতা: 92%, ভুল উত্তরদাতা: 1%, উত্তর করেননি: 6%
ব্যাখ্যা: এই প্রশ্ন সহ কয়েক লাখ প্রশ্নের অথেনটিক ব্যাখ্যা দেখতে Live MCQ অ্যাপ ইন্সটল করুন।
প্রশ্ন ২১. International Women’s Day is celebrated on:
ক) 14th February
খ) 4th April
গ) 8th March
ঘ) 22th November
সঠিক উত্তর: গ) 8th March
Live MCQ Analytics™: সঠিক উত্তরদাতা: 86%, ভুল উত্তরদাতা: 2%, উত্তর করেননি: 10%
ব্যাখ্যা: এই প্রশ্ন সহ কয়েক লাখ প্রশ্নের অথেনটিক ব্যাখ্যা দেখতে Live MCQ অ্যাপ ইন্সটল করুন।
প্রশ্ন ২২. Who invented the genomics of jute?
ক) Makshudul Alam
খ) Kudrat -E-Khuda
গ) Abed Chowdhury
ঘ) Muhammad Alam
সঠিক উত্তর: ক) Makshudul Alam
Live MCQ Analytics™: সঠিক উত্তরদাতা: 90%, ভুল উত্তরদাতা: 1%, উত্তর করেননি: 8%
ব্যাখ্যা: এই প্রশ্ন সহ কয়েক লাখ প্রশ্নের অথেনটিক ব্যাখ্যা দেখতে Live MCQ অ্যাপ ইন্সটল করুন।
প্রশ্ন ২৩. Where does the Rakhain tribe mainly live in Bangladesh?
ক) Rangamati
খ) Bandarban
গ) Bogra
ঘ) Patuakhali
সঠিক উত্তর: ঘ) Patuakhali
Live MCQ Analytics™: সঠিক উত্তরদাতা: 65%, ভুল উত্তরদাতা: 18%, উত্তর করেননি: 16%
ব্যাখ্যা: এই প্রশ্ন সহ কয়েক লাখ প্রশ্নের অথেনটিক ব্যাখ্যা দেখতে Live MCQ অ্যাপ ইন্সটল করুন।
প্রশ্ন ২৪. What are the full forms of the a.m and p.m?
ক) ante merideam and pre meridieam
খ) after meridieim and post meridieam
গ) ante meridiem ad post meridiem
ঘ) ante midaight and post midnightm
সঠিক উত্তর: গ) ante meridiem ad post meridiem
Live MCQ Analytics™: সঠিক উত্তরদাতা: 76%, ভুল উত্তরদাতা: 10%, উত্তর করেননি: 12%
ব্যাখ্যা: এই প্রশ্ন সহ কয়েক লাখ প্রশ্নের অথেনটিক ব্যাখ্যা দেখতে Live MCQ অ্যাপ ইন্সটল করুন।
প্রশ্ন ২৫. OIC was established in-
ক) 1967
খ) 1968
গ) 1969
ঘ) 1970
সঠিক উত্তর: গ) 1969
Live MCQ Analytics™: সঠিক উত্তরদাতা: 69%, ভুল উত্তরদাতা: 12%, উত্তর করেননি: 18%
ব্যাখ্যা: এই প্রশ্ন সহ কয়েক লাখ প্রশ্নের অথেনটিক ব্যাখ্যা দেখতে Live MCQ অ্যাপ ইন্সটল করুন।
প্রশ্ন ২৬. Where is the headquarters of the International Committee of the Red Cross located?
ক) New York
খ) Geneva
গ) London
ঘ) Paris
সঠিক উত্তর: খ) Geneva
Live MCQ Analytics™: সঠিক উত্তরদাতা: 76%, ভুল উত্তরদাতা: 9%, উত্তর করেননি: 14%
ব্যাখ্যা: এই প্রশ্ন সহ কয়েক লাখ প্রশ্নের অথেনটিক ব্যাখ্যা দেখতে Live MCQ অ্যাপ ইন্সটল করুন।
প্রশ্ন ২৭. Who is the President of the National Assembly of Bangladesh?
ক) President
খ) Prime minister
গ) Chief whip
ঘ) Speaker
সঠিক উত্তর: ঘ) Speaker
Live MCQ Analytics™: সঠিক উত্তরদাতা: 68%, ভুল উত্তরদাতা: 21%, উত্তর করেননি: 10%
ব্যাখ্যা: এই প্রশ্ন সহ কয়েক লাখ প্রশ্নের অথেনটিক ব্যাখ্যা দেখতে Live MCQ অ্যাপ ইন্সটল করুন।
প্রশ্ন ২৮. Besides Bangladesh, which country recognizes Bangla as one the official languages?
ক) Uganda
খ) Ghana
গ) Bhutan
ঘ) Sierra Leone
সঠিক উত্তর: ঘ) Sierra Leone
Live MCQ Analytics™: সঠিক উত্তরদাতা: 90%, ভুল উত্তরদাতা: 1%, উত্তর করেননি: 7%
ব্যাখ্যা: এই প্রশ্ন সহ কয়েক লাখ প্রশ্নের অথেনটিক ব্যাখ্যা দেখতে Live MCQ অ্যাপ ইন্সটল করুন।
প্রশ্ন ২৯. In which districts is the ‘Tanguar haor’ located?
ক) Chittagong
খ) Natore
গ) Sylhet
ঘ) Sunamganj
সঠিক উত্তর: ঘ) Sunamganj
Live MCQ Analytics™: সঠিক উত্তরদাতা: 81%, ভুল উত্তরদাতা: 8%, উত্তর করেননি: 9%
ব্যাখ্যা: এই প্রশ্ন সহ কয়েক লাখ প্রশ্নের অথেনটিক ব্যাখ্যা দেখতে Live MCQ অ্যাপ ইন্সটল করুন।
প্রশ্ন ৩০. Who designed the National Emblem of Bangladesh?
ক) Zainul Abedin
খ) SM Sultan
গ) Quamrul Hassan
ঘ) Murtaza Bashir
সঠিক উত্তর: গ) Quamrul Hassan
Live MCQ Analytics™: সঠিক উত্তরদাতা: 77%, ভুল উত্তরদাতা: 5%, উত্তর করেননি: 16%
ব্যাখ্যা: এই প্রশ্ন সহ কয়েক লাখ প্রশ্নের অথেনটিক ব্যাখ্যা দেখতে Live MCQ অ্যাপ ইন্সটল করুন।
প্রশ্ন ৩১. Where is the head office of the Asian Clearing Union (ACU) located?
ক) Iran
খ) Japan
গ) Singapur
ঘ) Soudi Arabia
সঠিক উত্তর: ক) Iran
Live MCQ Analytics™: সঠিক উত্তরদাতা: 44%, ভুল উত্তরদাতা: 16%, উত্তর করেননি: 39%
ব্যাখ্যা: এই প্রশ্ন সহ কয়েক লাখ প্রশ্নের অথেনটিক ব্যাখ্যা দেখতে Live MCQ অ্যাপ ইন্সটল করুন।
প্রশ্ন ৩২. Which of the following SAARC countries does not have its embassy in Bangladesh?
ক) Indian
খ) Pakistan
গ) Afghanistan
ঘ) Maldives
সঠিক উত্তর: “বাতিল করা হয়েছে”
Live MCQ Analytics™: সঠিক উত্তরদাতা: 0%, ভুল উত্তরদাতা: 0%, উত্তর করেননি: 0%
ব্যাখ্যা: এই প্রশ্ন সহ কয়েক লাখ প্রশ্নের অথেনটিক ব্যাখ্যা দেখতে Live MCQ অ্যাপ ইন্সটল করুন।
প্রশ্ন ৩৩. In terms of land area, which one is the largest district of Bangladesh?
ক) Chittagong
খ) Rajshahi
গ) Rangamati
ঘ) Dinajpur
সঠিক উত্তর: গ) Rangamati
Live MCQ Analytics™: সঠিক উত্তরদাতা: 85%, ভুল উত্তরদাতা: 6%, উত্তর করেননি: 7%
ব্যাখ্যা: এই প্রশ্ন সহ কয়েক লাখ প্রশ্নের অথেনটিক ব্যাখ্যা দেখতে Live MCQ অ্যাপ ইন্সটল করুন।
প্রশ্ন ৩৪. Where is East London Situated?
ক) Great Britain
খ) England
গ) South Africa
ঘ) South Sudan
সঠিক উত্তর: গ) South Africa
Live MCQ Analytics™: সঠিক উত্তরদাতা: 74%, ভুল উত্তরদাতা: 8%, উত্তর করেননি: 17%
ব্যাখ্যা: এই প্রশ্ন সহ কয়েক লাখ প্রশ্নের অথেনটিক ব্যাখ্যা দেখতে Live MCQ অ্যাপ ইন্সটল করুন।
প্রশ্ন ৩৫. ‘Bangabandhu Sheikh Mujib Shilpa Nagar’ is located on the mouth of :
ক) Feni river
খ) Meghna river
গ) Kirtankhola river
ঘ) Padma river
সঠিক উত্তর: ক) Feni river
Live MCQ Analytics™: সঠিক উত্তরদাতা: 43%, ভুল উত্তরদাতা: 12%, উত্তর করেননি: 43%
ব্যাখ্যা: এই প্রশ্ন সহ কয়েক লাখ প্রশ্নের অথেনটিক ব্যাখ্যা দেখতে Live MCQ অ্যাপ ইন্সটল করুন।
প্রশ্ন ৩৬. BEZA has till now got approval to establish how many economic zones countrywide?
ক) 29
খ) 59
গ) 88
ঘ) 95
সঠিক উত্তর: গ) 88
Live MCQ Analytics™: সঠিক উত্তরদাতা: 39%, ভুল উত্তরদাতা: 9%, উত্তর করেননি: 50%
ব্যাখ্যা: এই প্রশ্ন সহ কয়েক লাখ প্রশ্নের অথেনটিক ব্যাখ্যা দেখতে Live MCQ অ্যাপ ইন্সটল করুন।
প্রশ্ন ৩৭. The highest number of test match for Bangladesh has been played by:
ক) Tamim Iqbal
খ) Musfiqur Rahman
গ) Habibul Bashar
ঘ) Mohammad Rafiq
সঠিক উত্তর: খ) Musfiqur Rahman
Live MCQ Analytics™: সঠিক উত্তরদাতা: 59%, ভুল উত্তরদাতা: 18%, উত্তর করেননি: 22%
ব্যাখ্যা: এই প্রশ্ন সহ কয়েক লাখ প্রশ্নের অথেনটিক ব্যাখ্যা দেখতে Live MCQ অ্যাপ ইন্সটল করুন।
প্রশ্ন ৩৮. An approach to business information management that relies on integrated application software to provide data on manufacturing finance, inventory, human resources, sales etc. is known as –
ক) DHCP
খ) DAO
গ) CAM
ঘ) ERP
সঠিক উত্তর: ঘ) ERP
Live MCQ Analytics™: সঠিক উত্তরদাতা: 19%, ভুল উত্তরদাতা: 6%, উত্তর করেননি: 74%
ব্যাখ্যা: এই প্রশ্ন সহ কয়েক লাখ প্রশ্নের অথেনটিক ব্যাখ্যা দেখতে Live MCQ অ্যাপ ইন্সটল করুন।
প্রশ্ন ৩৯. Bird with the largest wingspan is:
ক) Ostrich
খ) Albatross
গ) Eagle
ঘ) Falcon
সঠিক উত্তর: খ) Albatross
Live MCQ Analytics™: সঠিক উত্তরদাতা: 51%, ভুল উত্তরদাতা: 20%, উত্তর করেননি: 28%
ব্যাখ্যা: এই প্রশ্ন সহ কয়েক লাখ প্রশ্নের অথেনটিক ব্যাখ্যা দেখতে Live MCQ অ্যাপ ইন্সটল করুন।
প্রশ্ন ৪০. Who won the adidas Golden Glove as the tournament’s best goalkeeper in FIFA World Cup 2018?
ক) Thibuat Courtois
খ) Manuel Neuer
গ) Cianluogi Bufor
ঘ) Fabien Barthez
সঠিক উত্তর: ক) Thibuat Courtois
Live MCQ Analytics™: সঠিক উত্তরদাতা: 43%, ভুল উত্তরদাতা: 8%, উত্তর করেননি: 47%
ব্যাখ্যা: এই প্রশ্ন সহ কয়েক লাখ প্রশ্নের অথেনটিক ব্যাখ্যা দেখতে Live MCQ অ্যাপ ইন্সটল করুন।
প্রশ্ন ৪১. The correct translation of: কয়লা দুইলে ময়লা যায় না।
ক) It is useless to clean a black object
খ) Black will take no other hue
গ) A black object remains same after cleaning
ঘ) Dirty items don’t get cleared
সঠিক উত্তর: খ) Black will take no other hue
Live MCQ Analytics™: সঠিক উত্তরদাতা: 77%, ভুল উত্তরদাতা: 6%, উত্তর করেননি: 16%
ব্যাখ্যা: এই প্রশ্ন সহ কয়েক লাখ প্রশ্নের অথেনটিক ব্যাখ্যা দেখতে Live MCQ অ্যাপ ইন্সটল করুন।
প্রশ্ন ৪২. which of the following sentences is correct?
ক) Every one of the boy love to ride
খ) Every one of the boys loves to ride
গ) Every one of the boys love to ride
ঘ) Every one of the boy loves to ride
সঠিক উত্তর: খ) Every one of the boys loves to ride
Live MCQ Analytics™: সঠিক উত্তরদাতা: 65%, ভুল উত্তরদাতা: 22%, উত্তর করেননি: 12%
ব্যাখ্যা: এই প্রশ্ন সহ কয়েক লাখ প্রশ্নের অথেনটিক ব্যাখ্যা দেখতে Live MCQ অ্যাপ ইন্সটল করুন।
প্রশ্ন ৪৩. Fill in the blank with appropriate preposition : He led a life devoid ___ blame.
ক) from
খ) in
গ) of
ঘ) At
সঠিক উত্তর: গ) of
Live MCQ Analytics™: সঠিক উত্তরদাতা: 77%, ভুল উত্তরদাতা: 7%, উত্তর করেননি: 14%
ব্যাখ্যা: এই প্রশ্ন সহ কয়েক লাখ প্রশ্নের অথেনটিক ব্যাখ্যা দেখতে Live MCQ অ্যাপ ইন্সটল করুন।
প্রশ্ন ৪৪. The correct indirect form of I said to him. ‘I don’t believe you’ is
ক) I said I don’t believe him
খ) I said I didn’t believe him
গ) I say I don’t belives you
ঘ) I have said I didn’t believe him.
সঠিক উত্তর: খ) I said I didn’t believe him
Live MCQ Analytics™: সঠিক উত্তরদাতা: 69%, ভুল উত্তরদাতা: 10%, উত্তর করেননি: 20%
ব্যাখ্যা: এই প্রশ্ন সহ কয়েক লাখ প্রশ্নের অথেনটিক ব্যাখ্যা দেখতে Live MCQ অ্যাপ ইন্সটল করুন।
প্রশ্ন ৪৫. He turned a deaf ear to my advice. Appropriate meaning of the underlined idiom is:
ক) Attention
খ) obey
গ) Disregarded
ঘ) Unhappy
সঠিক উত্তর: গ) Disregarded
Live MCQ Analytics™: সঠিক উত্তরদাতা: 59%, ভুল উত্তরদাতা: 20%, উত্তর করেননি: 20%
ব্যাখ্যা: এই প্রশ্ন সহ কয়েক লাখ প্রশ্নের অথেনটিক ব্যাখ্যা দেখতে Live MCQ অ্যাপ ইন্সটল করুন।
প্রশ্ন ৪৬. Find the incorrect sentence :
ক) He knows in and out of that affair.
খ) He made light of his friend’s warning.
গ) The child was as good as gold.
ঘ) I took him to task for his carelessness.
সঠিক উত্তর: ক) He knows in and out of that affair.
Live MCQ Analytics™: সঠিক উত্তরদাতা: 37%, ভুল উত্তরদাতা: 28%, উত্তর করেননি: 33%
ব্যাখ্যা: এই প্রশ্ন সহ কয়েক লাখ প্রশ্নের অথেনটিক ব্যাখ্যা দেখতে Live MCQ অ্যাপ ইন্সটল করুন।
প্রশ্ন ৪৭. Antonym of Futile is:
ক) Unsuccessful
খ) Unprofitable
গ) Abortive
ঘ) Effective
সঠিক উত্তর: ঘ) Effective
Live MCQ Analytics™: সঠিক উত্তরদাতা: 57%, ভুল উত্তরদাতা: 14%, উত্তর করেননি: 28%
ব্যাখ্যা: এই প্রশ্ন সহ কয়েক লাখ প্রশ্নের অথেনটিক ব্যাখ্যা দেখতে Live MCQ অ্যাপ ইন্সটল করুন।
প্রশ্ন ৪৮. Synonym of Heinous is-
ক) Pure
খ) Pious
গ) Wicked
ঘ) Moral
সঠিক উত্তর: গ) Wicked
Live MCQ Analytics™: সঠিক উত্তরদাতা: 68%, ভুল উত্তরদাতা: 6%, উত্তর করেননি: 24%
ব্যাখ্যা: এই প্রশ্ন সহ কয়েক লাখ প্রশ্নের অথেনটিক ব্যাখ্যা দেখতে Live MCQ অ্যাপ ইন্সটল করুন।
প্রশ্ন ৪৯. Select the phrase that best describes the meaning: all hell was let loose.
ক) there was loud hum
খ) there was a huge noise
গ) there was sound of thande
ঘ) there was an environment flame
সঠিক উত্তর: খ) there was a huge noise
Live MCQ Analytics™: সঠিক উত্তরদাতা: 31%, ভুল উত্তরদাতা: 5%, উত্তর করেননি: 62%
ব্যাখ্যা: এই প্রশ্ন সহ কয়েক লাখ প্রশ্নের অথেনটিক ব্যাখ্যা দেখতে Live MCQ অ্যাপ ইন্সটল করুন।
প্রশ্ন ৫০. Fill in the blanks with appropriate prepositions: The interviews were conducted ___ weekdays ___ noon and 6 p.m.
ক) in, at
খ) in, in
গ) on, at
ঘ) on, between
সঠিক উত্তর: ঘ) on, between
Live MCQ Analytics™: সঠিক উত্তরদাতা: 39%, ভুল উত্তরদাতা: 41%, উত্তর করেননি: 19%
ব্যাখ্যা: এই প্রশ্ন সহ কয়েক লাখ প্রশ্নের অথেনটিক ব্যাখ্যা দেখতে Live MCQ অ্যাপ ইন্সটল করুন।
প্রশ্ন ৫১. Choose appropriate verb: They went into business shortly after their children ____ home and got married.
ক) Left
খ) Gone
গ) Had left
ঘ) Went
সঠিক উত্তর: গ) Had left
Live MCQ Analytics™: সঠিক উত্তরদাতা: 68%, ভুল উত্তরদাতা: 11%, উত্তর করেননি: 19%
ব্যাখ্যা: এই প্রশ্ন সহ কয়েক লাখ প্রশ্নের অথেনটিক ব্যাখ্যা দেখতে Live MCQ অ্যাপ ইন্সটল করুন।
প্রশ্ন ৫২. Choose the appropriate passive form of the sentence: Salina was stitching a pant.
ক) A pant was being stitch by salina.
খ) A pant has been made by Salina.
গ) A pant was stitched by Salina.
ঘ) A pant was being stitched by Salina.
সঠিক উত্তর: ঘ) A pant was being stitched by Salina.
Live MCQ Analytics™: সঠিক উত্তরদাতা: 76%, ভুল উত্তরদাতা: 4%, উত্তর করেননি: 19%
ব্যাখ্যা: এই প্রশ্ন সহ কয়েক লাখ প্রশ্নের অথেনটিক ব্যাখ্যা দেখতে Live MCQ অ্যাপ ইন্সটল করুন।
প্রশ্ন ৫৩. Choose the correct simple sentence of: This is the needle with which she knits.
ক) This is her knitting needle.
খ) This is the needle the she uses for knitting
গ) This is the needle for knitting
ঘ) This needle can be used for knitting.
সঠিক উত্তর: ক) This is her knitting needle.
Live MCQ Analytics™: সঠিক উত্তরদাতা: 61%, ভুল উত্তরদাতা: 9%, উত্তর করেননি: 28%
ব্যাখ্যা: এই প্রশ্ন সহ কয়েক লাখ প্রশ্নের অথেনটিক ব্যাখ্যা দেখতে Live MCQ অ্যাপ ইন্সটল করুন।
প্রশ্ন ৫৪. Choose the correctly spelled word.
ক) Inhertence
খ) Surounding
গ) Teemendus
ঘ) Plausible
সঠিক উত্তর: ঘ) Plausible
Live MCQ Analytics™: সঠিক উত্তরদাতা: 64%, ভুল উত্তরদাতা: 7%, উত্তর করেননি: 28%
ব্যাখ্যা: এই প্রশ্ন সহ কয়েক লাখ প্রশ্নের অথেনটিক ব্যাখ্যা দেখতে Live MCQ অ্যাপ ইন্সটল করুন।
প্রশ্ন ৫৫. Which of the following is a verb?
ক) Probable
খ) Enact
গ) Fortunate
ঘ) Loud
সঠিক উত্তর: খ) Enact
Live MCQ Analytics™:
ব্যাখ্যা: এই প্রশ্ন সহ কয়েক লাখ প্রশ্নের অথেনটিক ব্যাখ্যা দেখতে Live MCQ অ্যাপ ইন্সটল করুন।
প্রশ্ন ৫৬. Fill in the blank with an appropriate preposition. He died ___ his country.
ক) of
খ) for
গ) along
ঘ) In
সঠিক উত্তর: খ) for
Live MCQ Analytics™: সঠিক উত্তরদাতা: 82%, ভুল উত্তরদাতা: 2%, উত্তর করেননি: 14%
ব্যাখ্যা: এই প্রশ্ন সহ কয়েক লাখ প্রশ্নের অথেনটিক ব্যাখ্যা দেখতে Live MCQ অ্যাপ ইন্সটল করুন।
প্রশ্ন ৫৭. Choose the appropriate simple sentence of: The student was disobedient and so the teacher punished him.
ক) The teacher punished the student because he was disobedient.
খ) As the student was disobedient teacher punished him.
গ) The teacher punished the student for disobedience.
ঘ) The teacher punished the student since he was disobedient.
সঠিক উত্তর: গ) The teacher punished the student for disobedience.
Live MCQ Analytics™: সঠিক উত্তরদাতা: 64%, ভুল উত্তরদাতা: 11%, উত্তর করেননি: 23%
ব্যাখ্যা: এই প্রশ্ন সহ কয়েক লাখ প্রশ্নের অথেনটিক ব্যাখ্যা দেখতে Live MCQ অ্যাপ ইন্সটল করুন।
প্রশ্ন ৫৮. Choose the correct negative form of the sentence: Everybody admits that Hanif tried his best in the final examination.
ক) Everybody admits that Hanif hasn’t try his best in the final examination.
খ) Everybody admits that Hanif didn’t by his best in the final examination.
গ) Hanif didn’t try his best in the final examination and everybody admits that.
ঘ) Nobody denies that Hanif tried his best in the final examination.
সঠিক উত্তর: ঘ) Nobody denies that Hanif tried his best in the final examination.
Live MCQ Analytics™: সঠিক উত্তরদাতা: 70%, ভুল উত্তরদাতা: 1%, উত্তর করেননি: 27%
ব্যাখ্যা: এই প্রশ্ন সহ কয়েক লাখ প্রশ্নের অথেনটিক ব্যাখ্যা দেখতে Live MCQ অ্যাপ ইন্সটল করুন।
প্রশ্ন ৫৯. which of the following sentences is correct?
ক) I shall be glad to help everyone of my boys in their studies.
খ) I shall be glad to help everyone of my boy in his studies.
গ) I shall be glad to help everyone of my boys in his studies.
ঘ) I shall be glad to help everyone of my boy inn studies.
সঠিক উত্তর: গ) I shall be glad to help everyone of my boys in his studies.
Live MCQ Analytics™: সঠিক উত্তরদাতা: 34%, ভুল উত্তরদাতা: 29%, উত্তর করেননি: 36%
ব্যাখ্যা: এই প্রশ্ন সহ কয়েক লাখ প্রশ্নের অথেনটিক ব্যাখ্যা দেখতে Live MCQ অ্যাপ ইন্সটল করুন।
প্রশ্ন ৬০. Fill in the blank with appropriate words: Either of these ___ to the airport.
ক) road lead
খ) roads leads
গ) roads lead
ঘ) road leads
সঠিক উত্তর: খ) roads leads
Live MCQ Analytics™: সঠিক উত্তরদাতা: 42%, ভুল উত্তরদাতা: 35%, উত্তর করেননি: 22%
ব্যাখ্যা: এই প্রশ্ন সহ কয়েক লাখ প্রশ্নের অথেনটিক ব্যাখ্যা দেখতে Live MCQ অ্যাপ ইন্সটল করুন।
প্রশ্ন ৬১. Dean of a business school distributed Tk. 100000 scholarships among 36 students giving 3000 to each male student and Tk. 2500 tk each female student. How many female students received scholarships?
ক) 20
খ) 22
গ) 16
ঘ) 13
সঠিক উত্তর: গ) 16
Live MCQ Analytics™: সঠিক উত্তরদাতা: 46%, ভুল উত্তরদাতা: 2%, উত্তর করেননি: 50%
ব্যাখ্যা: এই প্রশ্ন সহ কয়েক লাখ প্রশ্নের অথেনটিক ব্যাখ্যা দেখতে Live MCQ অ্যাপ ইন্সটল করুন।
প্রশ্ন ৬২. Mr. Johan pays income tax on the sum above $3000 at a rate of 6 cents per Dollar. If he has $4880 after paying the income tax. what is john’s gross income?
ক) 4750
খ) 4950
গ) 5000
ঘ) 5100
সঠিক উত্তর: গ) 5000
Live MCQ Analytics™: সঠিক উত্তরদাতা: 31%, ভুল উত্তরদাতা: 3%, উত্তর করেননি: 64%
ব্যাখ্যা: এই প্রশ্ন সহ কয়েক লাখ প্রশ্নের অথেনটিক ব্যাখ্যা দেখতে Live MCQ অ্যাপ ইন্সটল করুন।
প্রশ্ন ৬৩. Assurance company has a project that wil take 1000 person days to complete. How many days will it take to complete the project if the company has 50 workers?
ক) 50
খ) 43
গ) 32
ঘ) 20
সঠিক উত্তর: ঘ) 20
Live MCQ Analytics™: সঠিক উত্তরদাতা: 44%, ভুল উত্তরদাতা: 2%, উত্তর করেননি: 53%
ব্যাখ্যা: এই প্রশ্ন সহ কয়েক লাখ প্রশ্নের অথেনটিক ব্যাখ্যা দেখতে Live MCQ অ্যাপ ইন্সটল করুন।
প্রশ্ন ৬৪. Salim sells 900 shares via his broker who charges a flat rate of commission of Tk. 20 on all transmission of less than Tk. 1600. His bank account is credited with Tk. 340 from the share sale. What price were his shares sold at?
ক) 12 cents
খ) $7 cents
গ) 60 cents
ঘ) 40 cents
সঠিক উত্তর: ঘ) 40 cents
Live MCQ Analytics™: সঠিক উত্তরদাতা: 21%, ভুল উত্তরদাতা: 2%, উত্তর করেননি: 75%
ব্যাখ্যা: এই প্রশ্ন সহ কয়েক লাখ প্রশ্নের অথেনটিক ব্যাখ্যা দেখতে Live MCQ অ্যাপ ইন্সটল করুন।
প্রশ্ন ৬৫. Find the slope of the function y = 6+3x-0.1x2
ক) 6+3
খ) 6+3+2x
গ) 3-2x
ঘ) 3-0.2x
সঠিক উত্তর: “বাতিল করা হয়েছে”
Live MCQ Analytics™: সঠিক উত্তরদাতা: 0%, ভুল উত্তরদাতা: 0%, উত্তর করেননি: 0%
ব্যাখ্যা: এই প্রশ্ন সহ কয়েক লাখ প্রশ্নের অথেনটিক ব্যাখ্যা দেখতে Live MCQ অ্যাপ ইন্সটল করুন।
প্রশ্ন ৬৬. Reza sells 500 shares in a company via a stock broker who charges a flat Tk. 20 commission rate on all transactions under Tk. 1000. His bank account is credited with Tk. 692 from the sale of the shares. What price were his shares sold at?
ক) 109
খ) 131
গ) 142.4
ঘ) 168.9
সঠিক উত্তর: গ) 142.4
Live MCQ Analytics™: সঠিক উত্তরদাতা: 22%, ভুল উত্তরদাতা: 2%, উত্তর করেননি: 75%
ব্যাখ্যা: এই প্রশ্ন সহ কয়েক লাখ প্রশ্নের অথেনটিক ব্যাখ্যা দেখতে Live MCQ অ্যাপ ইন্সটল করুন।
প্রশ্ন ৬৭. A hawker buys every 4 oranges at Tk. 25 and then sells every 8 oranges at Tk. 56. What is the percentage of the profit?
ক) 12%
খ) 9%
গ) 7.5%
ঘ) 5.25%
সঠিক উত্তর: ক) 12%
Live MCQ Analytics™: সঠিক উত্তরদাতা: 52%, ভুল উত্তরদাতা: 1%, উত্তর করেননি: 45%
ব্যাখ্যা: এই প্রশ্ন সহ কয়েক লাখ প্রশ্নের অথেনটিক ব্যাখ্যা দেখতে Live MCQ অ্যাপ ইন্সটল করুন।
প্রশ্ন ৬৮. Area of a rectangular field is 400 square meter. If its length is 16 meter. What is his circumference of the field?
ক) 16
খ) 25
গ) 41
ঘ) 82
সঠিক উত্তর: ঘ) 82
Live MCQ Analytics™: সঠিক উত্তরদাতা: 45%, ভুল উত্তরদাতা: 9%, উত্তর করেননি: 45%
ব্যাখ্যা: এই প্রশ্ন সহ কয়েক লাখ প্রশ্নের অথেনটিক ব্যাখ্যা দেখতে Live MCQ অ্যাপ ইন্সটল করুন।
প্রশ্ন ৬৯. Length of a rectangular office is three times of its width. It costs Tk. 1102.50 for putting carpet on the floor at Tk. 7.50 per square meter. what is the length of the office?
ক) 15 meter
খ) 21 meter
গ) 26 meter
ঘ) 31 meter
সঠিক উত্তর: খ) 21 meter
Live MCQ Analytics™: সঠিক উত্তরদাতা: 33%, ভুল উত্তরদাতা: 2%, উত্তর করেননি: 63%
ব্যাখ্যা: এই প্রশ্ন সহ কয়েক লাখ প্রশ্নের অথেনটিক ব্যাখ্যা দেখতে Live MCQ অ্যাপ ইন্সটল করুন।
প্রশ্ন ৭০. If a+b = 8 and ab = 15, what is the value of a2+b2?
ক) 94
খ) 79
গ) 34
ঘ) 30
সঠিক উত্তর: গ) 34
Live MCQ Analytics™: সঠিক উত্তরদাতা: 64%, ভুল উত্তরদাতা: 2%, উত্তর করেননি: 32%
ব্যাখ্যা: এই প্রশ্ন সহ কয়েক লাখ প্রশ্নের অথেনটিক ব্যাখ্যা দেখতে Live MCQ অ্যাপ ইন্সটল করুন।
প্রশ্ন ৭১. If x-1/x = 5, the value of (x+1/x)2 is:
ক) 25
খ) 21
গ) 19
ঘ) 9
সঠিক উত্তর: “বাতিল করা হয়েছে”
Live MCQ Analytics™: সঠিক উত্তরদাতা: 0%, ভুল উত্তরদাতা: 0%, উত্তর করেননি: 0%
ব্যাখ্যা: এই প্রশ্ন সহ কয়েক লাখ প্রশ্নের অথেনটিক ব্যাখ্যা দেখতে Live MCQ অ্যাপ ইন্সটল করুন।
প্রশ্ন ৭২. Evaluate 4⅓−2⅚
ক) 3(⅓)
খ) 1(½)
গ) 3(½)
ঘ) 2(½)
সঠিক উত্তর: খ) 1(½)
Live MCQ Analytics™: সঠিক উত্তরদাতা: 26%, ভুল উত্তরদাতা: 9%, উত্তর করেননি: 63%
ব্যাখ্যা: এই প্রশ্ন সহ কয়েক লাখ প্রশ্নের অথেনটিক ব্যাখ্যা দেখতে Live MCQ অ্যাপ ইন্সটল করুন।
প্রশ্ন ৭৩. What is the value of the expression 1/?
ক) 9/5
খ) 1/2
গ) 3
ঘ) 5/9
সঠিক উত্তর: ঘ) 5/9
Live MCQ Analytics™: সঠিক উত্তরদাতা: 48%, ভুল উত্তরদাতা: 6%, উত্তর করেননি: 44%
ব্যাখ্যা: এই প্রশ্ন সহ কয়েক লাখ প্রশ্নের অথেনটিক ব্যাখ্যা দেখতে Live MCQ অ্যাপ ইন্সটল করুন।
প্রশ্ন ৭৪. Which of the following is the largest fraction?
ক) 1/3
খ) 6/16
গ) 2/11
ঘ) 9/2
সঠিক উত্তর: ঘ) 9/2
Live MCQ Analytics™: সঠিক উত্তরদাতা: 59%, ভুল উত্তরদাতা: 5%, উত্তর করেননি: 34%
ব্যাখ্যা: এই প্রশ্ন সহ কয়েক লাখ প্রশ্নের অথেনটিক ব্যাখ্যা দেখতে Live MCQ অ্যাপ ইন্সটল করুন।
প্রশ্ন ৭৫. If x and y are two different real Numbers and xz = yz then the value of z is?
ক) x-y
খ) y/x
গ) x/y
ঘ) 0
সঠিক উত্তর: ঘ) 0
Live MCQ Analytics™: সঠিক উত্তরদাতা: 46%, ভুল উত্তরদাতা: 6%, উত্তর করেননি: 46%
ব্যাখ্যা: এই প্রশ্ন সহ কয়েক লাখ প্রশ্নের অথেনটিক ব্যাখ্যা দেখতে Live MCQ অ্যাপ ইন্সটল করুন।
প্রশ্ন ৭৬. If x+y = 1/a and x-y =a then the value of x2−y2 is:
ক) 4
খ) 0
গ) 1
ঘ) a2
সঠিক উত্তর: গ) 1
Live MCQ Analytics™:
ব্যাখ্যা: এই প্রশ্ন সহ কয়েক লাখ প্রশ্নের অথেনটিক ব্যাখ্যা দেখতে Live MCQ অ্যাপ ইন্সটল করুন।
প্রশ্ন ৭৭. Current age of Zamil’s father is three times of Zamil. After 16 years from now father’s age will be twice of Zamil. What is the current age of Zamil?
ক) 16
খ) 32
গ) 48
ঘ) 64
সঠিক উত্তর: ক) 16
Live MCQ Analytics™: সঠিক উত্তরদাতা: 51%, ভুল উত্তরদাতা: 2%, উত্তর করেননি: 45%
ব্যাখ্যা: এই প্রশ্ন সহ কয়েক লাখ প্রশ্নের অথেনটিক ব্যাখ্যা দেখতে Live MCQ অ্যাপ ইন্সটল করুন।
প্রশ্ন ৭৮. Solve for x if 16x-4 = 68+7x.
ক) x = 16
খ) x = -16
গ) x = 8
ঘ) x = 5
সঠিক উত্তর: গ) x = 8
Live MCQ Analytics™: সঠিক উত্তরদাতা: 65%, ভুল উত্তরদাতা: 1%, উত্তর করেননি: 32%
ব্যাখ্যা: এই প্রশ্ন সহ কয়েক লাখ প্রশ্নের অথেনটিক ব্যাখ্যা দেখতে Live MCQ অ্যাপ ইন্সটল করুন।
প্রশ্ন ৭৯. A firm pays fixed costs of Tk. 1500 plus another Tk. 60 for each unit produced. How much can it produce for a budget of Tk. 4,800?
ক) 42
খ) 55
গ) 67
ঘ) 71
সঠিক উত্তর: খ) 55
Live MCQ Analytics™: সঠিক উত্তরদাতা: 39%, ভুল উত্তরদাতা: 0%, উত্তর করেননি: 60%
ব্যাখ্যা: এই প্রশ্ন সহ কয়েক লাখ প্রশ্নের অথেনটিক ব্যাখ্যা দেখতে Live MCQ অ্যাপ ইন্সটল করুন।
প্রশ্ন ৮০. Tahir gets paid travelling expenses according to the distance he drives in his car plus a weekly sum of Tk. 21. He claims for 420 miles travelled and receives an expenses payment of Tk. 105. What is the payment rate per mile?
ক) 20 cents
খ) 32 cents
গ) 48 cents
ঘ) 51 cents
সঠিক উত্তর: ক) 20 cents
Live MCQ Analytics™: সঠিক উত্তরদাতা: 31%, ভুল উত্তরদাতা: 2%, উত্তর করেননি: 66%
ব্যাখ্যা: এই প্রশ্ন সহ কয়েক লাখ প্রশ্নের অথেনটিক ব্যাখ্যা দেখতে Live MCQ অ্যাপ ইন্সটল করুন।
বাংলাদেশ অর্থনৈতিক অঞ্চল কর্তৃপক্ষ (BEZA) | সহকারী ব্যবস্থাপক পদের প্রশ্ন সমাধান ২০২০
পরীক্ষার তারিখ: ২৫ সেপ্টেম্বর, ২০২৫
প্রশ্ন সংখ্যা: ৮০
প্রশ্ন ১. Choose the Correct Preposition: The table is _____ the middle _____ the room.
ক) at, in
খ) in, of
গ) in, at
ঘ) into, of
সঠিক উত্তর: খ) in, of
Live MCQ Analytics™: সঠিক উত্তরদাতা: 48%, ভুল উত্তরদাতা: 36%, উত্তর করেননি: 15%
ব্যাখ্যা:
– কোন কিছুর ভিতরে অবস্থিত বা স্থিতিশীলতা বুঝালে in বসে।
Example: The students are in the room.
– কোন ব্যক্তি বা বস্তু কোনকিছুর অংশভুক্ত বুঝালে of বসে৷
Example: Tia stared at the floor of her room.
প্রশ্ন ২. Which of the following sentences is correct?
ক) In the accident, a number of passengers were died.
খ) Everyone were pleased at the party.
গ) The interviewed asked a number of question.
ঘ) Each of the boys are suffering from coronavirus.
সঠিক উত্তর: ক) In the accident, a number of passengers were died.
Live MCQ Analytics™: সঠিক উত্তরদাতা: 44%, ভুল উত্তরদাতা: 29%, উত্তর করেননি: 26%
ব্যাখ্যা:
অশুদ্ধ বাক্যগুলাের শুদ্ধরূপ:
– Everyone was pleased at the party (singular subject + singular verb).
– The interviewed asked a number of questions (a number of এর পরের noun টি plural হয়।)
– Each of the boys is suffering from coronavirus. (Each of the boys এর পর singular verb বসে)।
সঠিক উত্তর হলো অপশন a.
প্রশ্ন ৩. Choose the correct synonym of the word: ASTUTE.
ক) Ingenious
খ) Perceptive
গ) Native
ঘ) Unwise
সঠিক উত্তর: ক) Ingenious
Live MCQ Analytics™: সঠিক উত্তরদাতা: 24%, ভুল উত্তরদাতা: 17%, উত্তর করেননি: 57%
ব্যাখ্যা:
Astute – having or showing an ability to accurately assess situations or people and turn this to one’s advantage; চতুর।
Synonyms – Ingenious, clever, intelligent, Perceptive
Ingenious – clever, original, and inventive; cleverly and originally devised and well suited to its purpose.
Perceptive – Having or showing sensitive insight.
এখানে Astute এর সমার্থক শব্দ হিসেবে ‘Ingenious’ more accurate.
প্রশ্ন ৪. Choose the correct antonym of the word : EPIDEMIC.
ক) Rampant
খ) Prevalent
গ) Endemic
ঘ) Limited
সঠিক উত্তর: গ) Endemic
Live MCQ Analytics™: সঠিক উত্তরদাতা: 18%, ভুল উত্তরদাতা: 38%, উত্তর করেননি: 43%
ব্যাখ্যা:
Epidemic (adjective)- attacking or affecting many individuals in a community or a population simultaneously.
Synonyms:
Pestiferous, plaguey, pestilent, epizootic, epiphytotic, pandemic, pestilential.
Antonyms:
Endemic, agreeable, good, antiseptic.
প্রশ্ন ৫. Choose the correct conversion into simple form of the sentences: Corona virus has attacked the world, Bangladesh has maintained a high growth rate of its economy.
ক) Though Corona virus has attacked the world, Bangladesh has maintained a high economic growth rate.
খ) Since Corona virus has attacked the world, Bangladesh
গ) Corona virus has attacked the world, Bangladesh has maintained a high economic growth rate.
ঘ) In spite of Corona virus attack in the world, Bangladesh has maintained a high growth rate.
সঠিক উত্তর: ঘ) In spite of Corona virus attack in the world, Bangladesh has maintained a high growth rate.
Live MCQ Analytics™: সঠিক উত্তরদাতা: 46%, ভুল উত্তরদাতা: 18%, উত্তর করেননি: 34%
ব্যাখ্যা:
Though / Although যুক্ত Complex Sentence কে Simple Sentence এ পরিণত করার নিয়মঃ
– Though/Although-এর পরিবর্তে In Spite of বসে + সেই Clause এর Subject-এর Possessive form বসে + সেই Clause এর am/ is / are/was/ were এর পরিবর্তে being বসে বা সে clause এর has/have/ had এর পরিবর্তে having বসে বা সে বাক্যের মূল Verb এর Present form এর সাথে ing যােগ করতে হয় + Clause এর বাকী অংশ বসে + অপর clause বসে।
অতএব সঠিক উত্তর অপশন d.
নোটঃ in spite of এবং despite এরপর noun, gerund (-ing form of a verb) অথবা pronoun ব্যবহৃত হয়। attack -এর সাথে ing যুক্ত হবে না৷ কারণ এর সাথে ing যুক্ত হলে তা adjective এর কাজ করে যা বাক্যের structure এর সাথে বেমানান।
Source: British Council, Advanced Learner’s Communicative English Grammar
প্রশ্ন ৬. Choose the correct tag question of the sentence: Zahara knows how to swim, _____?
ক) don’t she
খ) does she
গ) doesn’t she
ঘ) do she
সঠিক উত্তর: গ) doesn’t she
Live MCQ Analytics™: সঠিক উত্তরদাতা: 82%, ভুল উত্তরদাতা: 2%, উত্তর করেননি: 14%
ব্যাখ্যা: এই প্রশ্ন সহ কয়েক লাখ প্রশ্নের অথেনটিক ব্যাখ্যা দেখতে Live MCQ অ্যাপ ইন্সটল করুন।
প্রশ্ন ৭. Choose the correct translation of the proverb: চোরে চোরে মাসতুতো ভাই।
ক) Two thieves are cousins.
খ) Birds of the same feather flock together.
গ) Morning shows the day.
ঘ) Better late than never.
সঠিক উত্তর: খ) Birds of the same feather flock together.
Live MCQ Analytics™: সঠিক উত্তরদাতা: 81%, ভুল উত্তরদাতা: 3%, উত্তর করেননি: 14%
ব্যাখ্যা: এই প্রশ্ন সহ কয়েক লাখ প্রশ্নের অথেনটিক ব্যাখ্যা দেখতে Live MCQ অ্যাপ ইন্সটল করুন।
প্রশ্ন ৮. He loved himself. The underlined word is?
ক) Personal pronoun
খ) Relative pronoun
গ) Demonstrative pronoun
ঘ) Reflexive pronoun
সঠিক উত্তর: ঘ) Reflexive pronoun
Live MCQ Analytics™: সঠিক উত্তরদাতা: 81%, ভুল উত্তরদাতা: 5%, উত্তর করেননি: 12%
ব্যাখ্যা: এই প্রশ্ন সহ কয়েক লাখ প্রশ্নের অথেনটিক ব্যাখ্যা দেখতে Live MCQ অ্যাপ ইন্সটল করুন।
প্রশ্ন ৯. Choose the correct words to complete the sentence : ______ in the field is feeling sick.
ক) One of the player
খ) One of the players
গ) Most of the player
ঘ) Most of the player
সঠিক উত্তর: খ) One of the players
Live MCQ Analytics™: সঠিক উত্তরদাতা: 74%, ভুল উত্তরদাতা: 10%, উত্তর করেননি: 15%
ব্যাখ্যা: এই প্রশ্ন সহ কয়েক লাখ প্রশ্নের অথেনটিক ব্যাখ্যা দেখতে Live MCQ অ্যাপ ইন্সটল করুন।
প্রশ্ন ১০. The appropriate plural form of the word STRATUM is?
ক) Straties
খ) Stratames
গ) Strata
ঘ) Stratumies
সঠিক উত্তর: গ) Strata
Live MCQ Analytics™: সঠিক উত্তরদাতা: 69%, ভুল উত্তরদাতা: 2%, উত্তর করেননি: 27%
ব্যাখ্যা: এই প্রশ্ন সহ কয়েক লাখ প্রশ্নের অথেনটিক ব্যাখ্যা দেখতে Live MCQ অ্যাপ ইন্সটল করুন।
প্রশ্ন ১১. Choose the correct sentence.
ক) My friend is going to buy some new furniture.
খ) My friend has got brown eyed.
গ) She has got short black hairs.
ঘ) He is going to buy some new chair.
সঠিক উত্তর: ক) My friend is going to buy some new furniture.
Live MCQ Analytics™: সঠিক উত্তরদাতা: 41%, ভুল উত্তরদাতা: 19%, উত্তর করেননি: 38%
ব্যাখ্যা: এই প্রশ্ন সহ কয়েক লাখ প্রশ্নের অথেনটিক ব্যাখ্যা দেখতে Live MCQ অ্যাপ ইন্সটল করুন।
প্রশ্ন ১২. Antonym of RECONDITE is –
ক) Hermetic
খ) Manifest
গ) Pedantic
ঘ) Occult
সঠিক উত্তর: খ) Manifest
Live MCQ Analytics™: সঠিক উত্তরদাতা: 10%, ভুল উত্তরদাতা: 7%, উত্তর করেননি: 82%
ব্যাখ্যা: এই প্রশ্ন সহ কয়েক লাখ প্রশ্নের অথেনটিক ব্যাখ্যা দেখতে Live MCQ অ্যাপ ইন্সটল করুন।
প্রশ্ন ১৩. What is the correct meaning of the underlined word in the sentence? How are you getting on in your new job?
ক) reaching
খ) completing
গ) managing
ঘ) arriving
সঠিক উত্তর: গ) managing
Live MCQ Analytics™: সঠিক উত্তরদাতা: 58%, ভুল উত্তরদাতা: 9%, উত্তর করেননি: 32%
ব্যাখ্যা: এই প্রশ্ন সহ কয়েক লাখ প্রশ্নের অথেনটিক ব্যাখ্যা দেখতে Live MCQ অ্যাপ ইন্সটল করুন।
প্রশ্ন ১৪. Choose the appropriate pair of the words to fill in the blanks: Though it’s difficult to cross the river, don’t ____.
ক) break down
খ) wash up
গ) give up
ঘ) put out
সঠিক উত্তর: গ) give up
Live MCQ Analytics™: সঠিক উত্তরদাতা: 60%, ভুল উত্তরদাতা: 11%, উত্তর করেননি: 28%
ব্যাখ্যা: এই প্রশ্ন সহ কয়েক লাখ প্রশ্নের অথেনটিক ব্যাখ্যা দেখতে Live MCQ অ্যাপ ইন্সটল করুন।
প্রশ্ন ১৫. The past participle form of the word ‘BITE’ is –
ক) bit
খ) bitten
গ) beaten
ঘ) bitter
সঠিক উত্তর: খ) bitten
Live MCQ Analytics™: সঠিক উত্তরদাতা: 48%, ভুল উত্তরদাতা: 32%, উত্তর করেননি: 18%
ব্যাখ্যা: এই প্রশ্ন সহ কয়েক লাখ প্রশ্নের অথেনটিক ব্যাখ্যা দেখতে Live MCQ অ্যাপ ইন্সটল করুন।
প্রশ্ন ১৬. Choose the correct form of the verb in the sentence : If we ______ near Cox’s Bazar, we would go there more often.
ক) have lived
খ) had lived
গ) were living
ঘ) lived
সঠিক উত্তর: ঘ) lived
Live MCQ Analytics™: সঠিক উত্তরদাতা: 51%, ভুল উত্তরদাতা: 29%, উত্তর করেননি: 19%
ব্যাখ্যা: এই প্রশ্ন সহ কয়েক লাখ প্রশ্নের অথেনটিক ব্যাখ্যা দেখতে Live MCQ অ্যাপ ইন্সটল করুন।
প্রশ্ন ১৭. Choose the sentence with appropriate use of ‘some’:
ক) I want to buy some new shoe.
খ) Would you like to buy some apples?
গ) Rana has listened to some music.
ঘ) He bought some piece of cheese.
সঠিক উত্তর: “বাতিল করা হয়েছে”
Live MCQ Analytics™: সঠিক উত্তরদাতা: 0%, ভুল উত্তরদাতা: 0%, উত্তর করেননি: 0%
ব্যাখ্যা: এই প্রশ্ন সহ কয়েক লাখ প্রশ্নের অথেনটিক ব্যাখ্যা দেখতে Live MCQ অ্যাপ ইন্সটল করুন।
প্রশ্ন ১৮. Which of the following words is correctly spelled?
ক) Parlament
খ) Pairlament
গ) Parliament
ঘ) Parlaiment
সঠিক উত্তর: গ) Parliament
Live MCQ Analytics™: সঠিক উত্তরদাতা: 75%, ভুল উত্তরদাতা: 8%, উত্তর করেননি: 16%
ব্যাখ্যা: এই প্রশ্ন সহ কয়েক লাখ প্রশ্নের অথেনটিক ব্যাখ্যা দেখতে Live MCQ অ্যাপ ইন্সটল করুন।
প্রশ্ন ১৯. Choose the correct form of the underlined words: Sabotage came from the French saboter, Which means ”to clatter with wooden shoes (sabots).”
ক) which means ”to
খ) which means, ”to
গ) that means ”to
ঘ) that means, ”to
সঠিক উত্তর: ক) which means ”to
Live MCQ Analytics™: সঠিক উত্তরদাতা: 4%, ভুল উত্তরদাতা: 28%, উত্তর করেননি: 66%
ব্যাখ্যা: এই প্রশ্ন সহ কয়েক লাখ প্রশ্নের অথেনটিক ব্যাখ্যা দেখতে Live MCQ অ্যাপ ইন্সটল করুন।
প্রশ্ন ২০. Select the sentence with appropriate form:
ক) If Salina had the money, she would buy a fast car.
খ) If I know the answer, I would tell you.
গ) If I was you, I would pat your jacket on.
ঘ) It would be nice if the weather is better.
সঠিক উত্তর: ক) If Salina had the money, she would buy a fast car.
Live MCQ Analytics™: সঠিক উত্তরদাতা: 41%, ভুল উত্তরদাতা: 28%, উত্তর করেননি: 30%
ব্যাখ্যা: এই প্রশ্ন সহ কয়েক লাখ প্রশ্নের অথেনটিক ব্যাখ্যা দেখতে Live MCQ অ্যাপ ইন্সটল করুন।
প্রশ্ন ২১. ‘শবপােড়া’ শব্দটির কি দোষ দেখা যায়?
ক) গুরুচণ্ডালী
খ) দুর্বোধ্যতা
গ) উপমার ভুল প্রয়ােগ
ঘ) আকাঙ্খার ভুল প্রয়ােগ
সঠিক উত্তর: ক) গুরুচণ্ডালী
Live MCQ Analytics™: সঠিক উত্তরদাতা: 79%, ভুল উত্তরদাতা: 8%, উত্তর করেননি: 12%
ব্যাখ্যা: এই প্রশ্ন সহ কয়েক লাখ প্রশ্নের অথেনটিক ব্যাখ্যা দেখতে Live MCQ অ্যাপ ইন্সটল করুন।
প্রশ্ন ২২. ‘দুঃখকে প্রাপ্ত’ এটি কোন সমাস?
ক) দ্বিগু
খ) বহুব্রীহি
গ) তৎপুরুষ
ঘ) কর্মধারয়
সঠিক উত্তর: গ) তৎপুরুষ
Live MCQ Analytics™: সঠিক উত্তরদাতা: 76%, ভুল উত্তরদাতা: 6%, উত্তর করেননি: 17%
ব্যাখ্যা: এই প্রশ্ন সহ কয়েক লাখ প্রশ্নের অথেনটিক ব্যাখ্যা দেখতে Live MCQ অ্যাপ ইন্সটল করুন।
প্রশ্ন ২৩. ‘সূর্য’-এর প্রতিশব্দ?
ক) আদিত্য
খ) সুধাংশু
গ) শশাঙ্ক
ঘ) বিধু
সঠিক উত্তর: ক) আদিত্য
Live MCQ Analytics™: সঠিক উত্তরদাতা: 84%, ভুল উত্তরদাতা: 3%, উত্তর করেননি: 11%
ব্যাখ্যা: এই প্রশ্ন সহ কয়েক লাখ প্রশ্নের অথেনটিক ব্যাখ্যা দেখতে Live MCQ অ্যাপ ইন্সটল করুন।
প্রশ্ন ২৪. তুর্কি শব্দের উদাহরণ কোনটি?
ক) আলমারি
খ) লুঙ্গি
গ) রিক্সা
ঘ) চাকু
সঠিক উত্তর: ঘ) চাকু
Live MCQ Analytics™: সঠিক উত্তরদাতা: 28%, ভুল উত্তরদাতা: 71%, উত্তর করেননি: 0%
ব্যাখ্যা: এই প্রশ্ন সহ কয়েক লাখ প্রশ্নের অথেনটিক ব্যাখ্যা দেখতে Live MCQ অ্যাপ ইন্সটল করুন।
প্রশ্ন ২৫. ‘ডাকঘর’ কোন ধরনের রচনা?
ক) নাটক
খ) কবিতা
গ) উপন্যাস
ঘ) প্রবন্ধ
সঠিক উত্তর: ক) নাটক
Live MCQ Analytics™: সঠিক উত্তরদাতা: 69%, ভুল উত্তরদাতা: 9%, উত্তর করেননি: 20%
ব্যাখ্যা: এই প্রশ্ন সহ কয়েক লাখ প্রশ্নের অথেনটিক ব্যাখ্যা দেখতে Live MCQ অ্যাপ ইন্সটল করুন।
প্রশ্ন ২৬. কায়কোবাদের ‘মহাশ্মশান’ গ্রন্থটি কোন ধরনের রচনা?
ক) ইতিহাস
খ) গীতিকাব্য
গ) মহাকাব্য
ঘ) উপন্যাস
সঠিক উত্তর: গ) মহাকাব্য
Live MCQ Analytics™: সঠিক উত্তরদাতা: 82%, ভুল উত্তরদাতা: 4%, উত্তর করেননি: 12%
ব্যাখ্যা: এই প্রশ্ন সহ কয়েক লাখ প্রশ্নের অথেনটিক ব্যাখ্যা দেখতে Live MCQ অ্যাপ ইন্সটল করুন।
প্রশ্ন ২৭. কোনটি শুদ্ধ বানান?
ক) নির্নিমেষ
খ) নিৰ্ণিমেষ
গ) নির্নিমেস
ঘ) নিৰ্ণিমেষ
সঠিক উত্তর: ক) নির্নিমেষ
Live MCQ Analytics™: সঠিক উত্তরদাতা: 40%, ভুল উত্তরদাতা: 35%, উত্তর করেননি: 23%
ব্যাখ্যা: এই প্রশ্ন সহ কয়েক লাখ প্রশ্নের অথেনটিক ব্যাখ্যা দেখতে Live MCQ অ্যাপ ইন্সটল করুন।
প্রশ্ন ২৮. কোনটি শুদ্ধ বানান?
ক) নিসুতী
খ) নিসুতি
গ) নিষুতী
ঘ) নিষুতি
সঠিক উত্তর: ঘ) নিষুতি
Live MCQ Analytics™: সঠিক উত্তরদাতা: 51%, ভুল উত্তরদাতা: 18%, উত্তর করেননি: 30%
ব্যাখ্যা: এই প্রশ্ন সহ কয়েক লাখ প্রশ্নের অথেনটিক ব্যাখ্যা দেখতে Live MCQ অ্যাপ ইন্সটল করুন।
প্রশ্ন ২৯. ‘অঞ্চল’ শব্দটি কোন শ্রেণির?
ক) তদ্ভব
খ) তৎসম
গ) ফারসি
ঘ) ইংরেজি
সঠিক উত্তর: খ) তৎসম
Live MCQ Analytics™: সঠিক উত্তরদাতা: 43%, ভুল উত্তরদাতা: 11%, উত্তর করেননি: 44%
ব্যাখ্যা: এই প্রশ্ন সহ কয়েক লাখ প্রশ্নের অথেনটিক ব্যাখ্যা দেখতে Live MCQ অ্যাপ ইন্সটল করুন।
প্রশ্ন ৩০. ‘ক্ষীয়মাণ’-এর বিপরীত শব্দ কি?
ক) বৃহৎ
খ) বর্ধিষ্ণু
গ) বর্ধমান
ঘ) বৃদ্ধিপ্রাপ্ত
সঠিক উত্তর: গ) বর্ধমান
Live MCQ Analytics™: সঠিক উত্তরদাতা: 80%, ভুল উত্তরদাতা: 10%, উত্তর করেননি: 9%
ব্যাখ্যা: এই প্রশ্ন সহ কয়েক লাখ প্রশ্নের অথেনটিক ব্যাখ্যা দেখতে Live MCQ অ্যাপ ইন্সটল করুন।
প্রশ্ন ৩১. কোন সন্ধিটি নিপাতনে সিদ্ধ?
ক) বাক + দান = বাগদান
খ) উৎ + ছেদ = উচ্ছেদ
গ) পর্ + পর = পরস্পর
ঘ) সম + সার = সংসার
সঠিক উত্তর: গ) পর্ + পর = পরস্পর
Live MCQ Analytics™: সঠিক উত্তরদাতা: 78%, ভুল উত্তরদাতা: 5%, উত্তর করেননি: 16%
ব্যাখ্যা: এই প্রশ্ন সহ কয়েক লাখ প্রশ্নের অথেনটিক ব্যাখ্যা দেখতে Live MCQ অ্যাপ ইন্সটল করুন।
প্রশ্ন ৩২. নিচের কোনটিতে বিরামচিহ্ন যথাযথভাবে ব্যবহৃত হয়নি?
ক) ডিসেম্বর ১৬, ১৯৭১
খ) ২৬ মার্চ, ১৯৭১
গ) পয়লা বৈশাখ, চৌদ্দশত সাত
ঘ) ঢাকা, ২১ ফেব্রুয়ারি ১৯৫২
সঠিক উত্তর: ঘ) ঢাকা, ২১ ফেব্রুয়ারি ১৯৫২
Live MCQ Analytics™: সঠিক উত্তরদাতা: 59%, ভুল উত্তরদাতা: 20%, উত্তর করেননি: 19%
ব্যাখ্যা: এই প্রশ্ন সহ কয়েক লাখ প্রশ্নের অথেনটিক ব্যাখ্যা দেখতে Live MCQ অ্যাপ ইন্সটল করুন।
প্রশ্ন ৩৩. খাঁটি বাংলা উপসর্গ যোগে সৃষ্ট পদ কোনটি?
ক) আকাঁড়া
খ) অবেলা
গ) অপমান
ঘ) অতিশয়
সঠিক উত্তর: ক) আকাঁড়া
Live MCQ Analytics™: সঠিক উত্তরদাতা: 28%, ভুল উত্তরদাতা: 43%, উত্তর করেননি: 28%
ব্যাখ্যা: এই প্রশ্ন সহ কয়েক লাখ প্রশ্নের অথেনটিক ব্যাখ্যা দেখতে Live MCQ অ্যাপ ইন্সটল করুন।
প্রশ্ন ৩৪. ‘ডালে ডালে কুসুম ভার’-এখানে ‘ভার’ কোন অর্থ প্রকাশ করেছে?
ক) সমূহ
খ) বােঝা
গ) গুরুত্ব
ঘ) অতিশয়
সঠিক উত্তর: ক) সমূহ
Live MCQ Analytics™: সঠিক উত্তরদাতা: 39%, ভুল উত্তরদাতা: 32%, উত্তর করেননি: 28%
ব্যাখ্যা: এই প্রশ্ন সহ কয়েক লাখ প্রশ্নের অথেনটিক ব্যাখ্যা দেখতে Live MCQ অ্যাপ ইন্সটল করুন।
প্রশ্ন ৩৫. কৃষক হলেও তার আছে রাশি রাশি ধন- বাক্যে ‘রাশি রাশি’ কি অর্থে ব্যবহৃত হয়েছে?
ক) সামান্য
খ) আধিক্য
গ) গভীরতা
ঘ) তীব্রতা
সঠিক উত্তর: খ) আধিক্য
Live MCQ Analytics™: সঠিক উত্তরদাতা: 85%, ভুল উত্তরদাতা: 1%, উত্তর করেননি: 12%
ব্যাখ্যা: এই প্রশ্ন সহ কয়েক লাখ প্রশ্নের অথেনটিক ব্যাখ্যা দেখতে Live MCQ অ্যাপ ইন্সটল করুন।
প্রশ্ন ৩৬. ‘তুলসী বনের বাঘ’ প্রবাদটির অর্থ কি?
ক) ভন্ড
খ) সামান্য ত্রুটি
গ) অতিশয় পণ্ডিত
ঘ) বহিপীর
সঠিক উত্তর: ক) ভন্ড
Live MCQ Analytics™: সঠিক উত্তরদাতা: 76%, ভুল উত্তরদাতা: 9%, উত্তর করেননি: 14%
ব্যাখ্যা: এই প্রশ্ন সহ কয়েক লাখ প্রশ্নের অথেনটিক ব্যাখ্যা দেখতে Live MCQ অ্যাপ ইন্সটল করুন।
প্রশ্ন ৩৭. কোনটি ভুল বাক্য?
ক) দীনতা সব সময় ভাল নয়।
খ) দেশের দারিদ্র দূর করতে হবে।
গ) সময় বড় সংক্ষিপ্ত।
ঘ) এখানে প্রবেশ নিষিদ্ধ।
সঠিক উত্তর: খ) দেশের দারিদ্র দূর করতে হবে।
Live MCQ Analytics™: সঠিক উত্তরদাতা: 37%, ভুল উত্তরদাতা: 39%, উত্তর করেননি: 23%
ব্যাখ্যা: এই প্রশ্ন সহ কয়েক লাখ প্রশ্নের অথেনটিক ব্যাখ্যা দেখতে Live MCQ অ্যাপ ইন্সটল করুন।
প্রশ্ন ৩৮. আসামির পক্ষে উকিল কে? এখানে ‘পক্ষে’ কী অর্থে ব্যবহৃত হয়েছে?
ক) প্রশ্ন অর্থে
খ) আদেশ অর্থে
গ) সহায় অর্থে
ঘ) প্রার্থনা অর্থে
সঠিক উত্তর: গ) সহায় অর্থে
Live MCQ Analytics™: সঠিক উত্তরদাতা: 79%, ভুল উত্তরদাতা: 5%, উত্তর করেননি: 15%
ব্যাখ্যা: এই প্রশ্ন সহ কয়েক লাখ প্রশ্নের অথেনটিক ব্যাখ্যা দেখতে Live MCQ অ্যাপ ইন্সটল করুন।
প্রশ্ন ৩৯. ‘সর্বনাশ’ বােঝাতে কোন বাগধারাটি প্রয়ােজন?
ক) মগের মুল্লুক
খ) পুকুর চুরি
গ) বালির বাঁধ
ঘ) ভরাডুবি
সঠিক উত্তর: ঘ) ভরাডুবি
Live MCQ Analytics™: সঠিক উত্তরদাতা: 70%, ভুল উত্তরদাতা: 16%, উত্তর করেননি: 13%
ব্যাখ্যা: এই প্রশ্ন সহ কয়েক লাখ প্রশ্নের অথেনটিক ব্যাখ্যা দেখতে Live MCQ অ্যাপ ইন্সটল করুন।
প্রশ্ন ৪০. ‘হাটে হাটে বিকিয়ে তাের ভরা আপণ’-এ বাক্যে কোন দ্বিরুক্তির প্রয়ােগ ঘটেছে?
ক) যুগরীতি
খ) অব্যয়ের
গ) ধ্বনাত্মক
ঘ) পদাত্মক
সঠিক উত্তর: ঘ) পদাত্মক
Live MCQ Analytics™: সঠিক উত্তরদাতা: 27%, ভুল উত্তরদাতা: 18%, উত্তর করেননি: 54%
ব্যাখ্যা: এই প্রশ্ন সহ কয়েক লাখ প্রশ্নের অথেনটিক ব্যাখ্যা দেখতে Live MCQ অ্যাপ ইন্সটল করুন।
প্রশ্ন ৪১. What is the period of coverage under the present five-year plan of Bangladesh?
ক) FY 2016- FY 2020
খ) FY 2017-FY2021
গ) FY 2018-FY 2022
ঘ) FY2020-FY2024
সঠিক উত্তর: “বাতিল করা হয়েছে”
Live MCQ Analytics™: সঠিক উত্তরদাতা: 0%, ভুল উত্তরদাতা: 0%, উত্তর করেননি: 0%
ব্যাখ্যা: এই প্রশ্ন সহ কয়েক লাখ প্রশ্নের অথেনটিক ব্যাখ্যা দেখতে Live MCQ অ্যাপ ইন্সটল করুন।
প্রশ্ন ৪২. Which movie won the best picture Oscar award 2020?
ক) Ford vs Ferrari
খ) Joker
গ) Green Book
ঘ) Parasite
সঠিক উত্তর: ঘ) Parasite
Live MCQ Analytics™: সঠিক উত্তরদাতা: 57%, ভুল উত্তরদাতা: 8%, উত্তর করেননি: 33%
ব্যাখ্যা: এই প্রশ্ন সহ কয়েক লাখ প্রশ্নের অথেনটিক ব্যাখ্যা দেখতে Live MCQ অ্যাপ ইন্সটল করুন।
প্রশ্ন ৪৩. What was the theme of 2020 international women’s Day?
ক) Men and Women should have equal right.
খ) I am Generation Equality: Realizing Women’s Rights.
গ) Think equal, build smart, innovate for change.
ঘ) Empowering Women and Empowering Humanity.
সঠিক উত্তর: খ) I am Generation Equality: Realizing Women’s Rights.
Live MCQ Analytics™: সঠিক উত্তরদাতা: 12%, ভুল উত্তরদাতা: 24%, উত্তর করেননি: 62%
ব্যাখ্যা: এই প্রশ্ন সহ কয়েক লাখ প্রশ্নের অথেনটিক ব্যাখ্যা দেখতে Live MCQ অ্যাপ ইন্সটল করুন।
প্রশ্ন ৪৪. Which tennis tournament is played on Clay Court?
ক) The U.S. Open
খ) The Australian Open
গ) The French Open
ঘ) Wimbledon
সঠিক উত্তর: গ) The French Open
Live MCQ Analytics™: সঠিক উত্তরদাতা: 18%, ভুল উত্তরদাতা: 10%, উত্তর করেননি: 71%
ব্যাখ্যা: এই প্রশ্ন সহ কয়েক লাখ প্রশ্নের অথেনটিক ব্যাখ্যা দেখতে Live MCQ অ্যাপ ইন্সটল করুন।
প্রশ্ন ৪৫. Who is the author of the book “Principia Mathematica”?
ক) Issac Newton
খ) Albert Einstein
গ) Copernicus
ঘ) Galileo
সঠিক উত্তর: ক) Issac Newton
Live MCQ Analytics™: সঠিক উত্তরদাতা: 36%, ভুল উত্তরদাতা: 13%, উত্তর করেননি: 50%
ব্যাখ্যা: এই প্রশ্ন সহ কয়েক লাখ প্রশ্নের অথেনটিক ব্যাখ্যা দেখতে Live MCQ অ্যাপ ইন্সটল করুন।
প্রশ্ন ৪৬. ‘Zulu’ is the prominent Tribe of which country?
ক) East Malaysia
খ) Zambia
গ) Congo
ঘ) South Africa
সঠিক উত্তর: ঘ) South Africa
Live MCQ Analytics™: সঠিক উত্তরদাতা: 55%, ভুল উত্তরদাতা: 5%, উত্তর করেননি: 38%
ব্যাখ্যা: এই প্রশ্ন সহ কয়েক লাখ প্রশ্নের অথেনটিক ব্যাখ্যা দেখতে Live MCQ অ্যাপ ইন্সটল করুন।
প্রশ্ন ৪৭. Which of the following is not an Olympic sport?
ক) Swimming
খ) Badminton
গ) Cricket
ঘ) Fencing
সঠিক উত্তর: গ) Cricket
Live MCQ Analytics™: সঠিক উত্তরদাতা: 67%, ভুল উত্তরদাতা: 9%, উত্তর করেননি: 23%
ব্যাখ্যা: এই প্রশ্ন সহ কয়েক লাখ প্রশ্নের অথেনটিক ব্যাখ্যা দেখতে Live MCQ অ্যাপ ইন্সটল করুন।
প্রশ্ন ৪৮. International day of friendship is observed globally on –
ক) 29 July
খ) 30 July
গ) 27 September
ঘ) 31 July
সঠিক উত্তর: খ) 30 July
Live MCQ Analytics™: সঠিক উত্তরদাতা: 10%, ভুল উত্তরদাতা: 9%, উত্তর করেননি: 80%
ব্যাখ্যা: এই প্রশ্ন সহ কয়েক লাখ প্রশ্নের অথেনটিক ব্যাখ্যা দেখতে Live MCQ অ্যাপ ইন্সটল করুন।
প্রশ্ন ৪৯. Who was the top goal scorer in the UEFA Champions League 2019-20?
ক) Earling Braut Haaland
খ) Lionel Messi
গ) Cristano Ronaldo
ঘ) Robert Lewandowski
সঠিক উত্তর: ঘ) Robert Lewandowski
Live MCQ Analytics™: সঠিক উত্তরদাতা: 27%, ভুল উত্তরদাতা: 12%, উত্তর করেননি: 59%
ব্যাখ্যা: এই প্রশ্ন সহ কয়েক লাখ প্রশ্নের অথেনটিক ব্যাখ্যা দেখতে Live MCQ অ্যাপ ইন্সটল করুন।
প্রশ্ন ৫০. Which Batsman is ranked first in the ICC ODI player ranking of 2020?
ক) Rohit sharma
খ) Babar Azam
গ) Virat Kohli
ঘ) Musfiqur Rahim
সঠিক উত্তর: গ) Virat Kohli
Live MCQ Analytics™: সঠিক উত্তরদাতা: 35%, ভুল উত্তরদাতা: 23%, উত্তর করেননি: 41%
ব্যাখ্যা: এই প্রশ্ন সহ কয়েক লাখ প্রশ্নের অথেনটিক ব্যাখ্যা দেখতে Live MCQ অ্যাপ ইন্সটল করুন।
প্রশ্ন ৫১. Which chemical compound caused a huge explosion in Beirut, Lebanon on August 4, 2020?
ক) Ammonium Sulphate
খ) Ammonium Nitrate
গ) Magnesium Sulphate
ঘ) Magnesium Nitrate
সঠিক উত্তর: খ) Ammonium Nitrate
Live MCQ Analytics™:
ব্যাখ্যা: এই প্রশ্ন সহ কয়েক লাখ প্রশ্নের অথেনটিক ব্যাখ্যা দেখতে Live MCQ অ্যাপ ইন্সটল করুন।
প্রশ্ন ৫২. Which Party won the elections in Pakistan in 1970 and was not allowed to form a government?
ক) Muslim League
খ) Awami League
গ) Pakistan People Party
ঘ) Jamaat-e-Islami Pakistan
সঠিক উত্তর: খ) Awami League
Live MCQ Analytics™: সঠিক উত্তরদাতা: 61%, ভুল উত্তরদাতা: 8%, উত্তর করেননি: 29%
ব্যাখ্যা: এই প্রশ্ন সহ কয়েক লাখ প্রশ্নের অথেনটিক ব্যাখ্যা দেখতে Live MCQ অ্যাপ ইন্সটল করুন।
প্রশ্ন ৫৩. Who was the winner of the men’s single in US Open tennis 2020?
ক) Andy Murray
খ) Novak Djokovic
গ) Dominic Thiem
ঘ) Roger Federce
সঠিক উত্তর: গ) Dominic Thiem
Live MCQ Analytics™: সঠিক উত্তরদাতা: 14%, ভুল উত্তরদাতা: 17%, উত্তর করেননি: 68%
ব্যাখ্যা: এই প্রশ্ন সহ কয়েক লাখ প্রশ্নের অথেনটিক ব্যাখ্যা দেখতে Live MCQ অ্যাপ ইন্সটল করুন।
প্রশ্ন ৫৪. The headquarter of Apple, known as Apple Park, is located in –
ক) New York
খ) Washington
গ) California
ঘ) Toronto
সঠিক উত্তর: গ) California
Live MCQ Analytics™: সঠিক উত্তরদাতা: 38%, ভুল উত্তরদাতা: 18%, উত্তর করেননি: 42%
ব্যাখ্যা: এই প্রশ্ন সহ কয়েক লাখ প্রশ্নের অথেনটিক ব্যাখ্যা দেখতে Live MCQ অ্যাপ ইন্সটল করুন।
প্রশ্ন ৫৫. How much is the Foreign Exchange Reserve of Bangladesh as of May 2021?
ক) $42 Billion
খ) $43 Billion
গ) $44 Billion
ঘ) $45 Billion
সঠিক উত্তর: ঘ) $45 Billion
Live MCQ Analytics™: সঠিক উত্তরদাতা: 14%, ভুল উত্তরদাতা: 30%, উত্তর করেননি: 54%
ব্যাখ্যা: এই প্রশ্ন সহ কয়েক লাখ প্রশ্নের অথেনটিক ব্যাখ্যা দেখতে Live MCQ অ্যাপ ইন্সটল করুন।
প্রশ্ন ৫৬. By pressing which key we can move to the beginning of a line in Ms Word document?
ক) Window Key
খ) Shift Key
গ) Tab Key
ঘ) Home Key
সঠিক উত্তর: ঘ) Home Key
Live MCQ Analytics™: সঠিক উত্তরদাতা: 33%, ভুল উত্তরদাতা: 15%, উত্তর করেননি: 50%
ব্যাখ্যা: এই প্রশ্ন সহ কয়েক লাখ প্রশ্নের অথেনটিক ব্যাখ্যা দেখতে Live MCQ অ্যাপ ইন্সটল করুন।
প্রশ্ন ৫৭. EDI is a (an)-
ক) Individual application software
খ) Workgroup application software
গ) Organizational application software
ঘ) Inter organizational application software
সঠিক উত্তর: ঘ) Inter organizational application software
Live MCQ Analytics™: সঠিক উত্তরদাতা: 4%, ভুল উত্তরদাতা: 5%, উত্তর করেননি: 90%
ব্যাখ্যা: এই প্রশ্ন সহ কয়েক লাখ প্রশ্নের অথেনটিক ব্যাখ্যা দেখতে Live MCQ অ্যাপ ইন্সটল করুন।
প্রশ্ন ৫৮. Which of the following consists of one or more filaments of glass fiber wrapped in protective layers that carries Data by means of pulse of light?
ক) Coaxial cable
খ) Optical fiber
গ) Satellite
ঘ) Twisted pair
সঠিক উত্তর: খ) Optical fiber
Live MCQ Analytics™: সঠিক উত্তরদাতা: 43%, ভুল উত্তরদাতা: 3%, উত্তর করেননি: 53%
ব্যাখ্যা: এই প্রশ্ন সহ কয়েক লাখ প্রশ্নের অথেনটিক ব্যাখ্যা দেখতে Live MCQ অ্যাপ ইন্সটল করুন।
প্রশ্ন ৫৯. Google’s language translator is an example of the application of-
ক) internet
খ) computer simulations
গ) debugging
ঘ) machine learning
সঠিক উত্তর: ঘ) machine learning
Live MCQ Analytics™: সঠিক উত্তরদাতা: 24%, ভুল উত্তরদাতা: 21%, উত্তর করেননি: 53%
ব্যাখ্যা: এই প্রশ্ন সহ কয়েক লাখ প্রশ্নের অথেনটিক ব্যাখ্যা দেখতে Live MCQ অ্যাপ ইন্সটল করুন।
প্রশ্ন ৬০. A virus that replicates itself is called –
ক) Bug
খ) Worm
গ) Bombo
ঘ) Hoax
সঠিক উত্তর: খ) Worm
Live MCQ Analytics™: সঠিক উত্তরদাতা: 17%, ভুল উত্তরদাতা: 25%, উত্তর করেননি: 56%
ব্যাখ্যা: এই প্রশ্ন সহ কয়েক লাখ প্রশ্নের অথেনটিক ব্যাখ্যা দেখতে Live MCQ অ্যাপ ইন্সটল করুন।
প্রশ্ন ৬১. What is the slope of a line containing the points (1, 13) and (-3, 6)?
ক) 0.14
খ) 0.57
গ) 1.75
ঘ) 1.83
সঠিক উত্তর: গ) 1.75
Live MCQ Analytics™: সঠিক উত্তরদাতা: 16%, ভুল উত্তরদাতা: 3%, উত্তর করেননি: 80%
ব্যাখ্যা: এই প্রশ্ন সহ কয়েক লাখ প্রশ্নের অথেনটিক ব্যাখ্যা দেখতে Live MCQ অ্যাপ ইন্সটল করুন।
প্রশ্ন ৬২. If a + b + c = 12, a + b = 4, & a + c = 7, What is the value of a?
ক) 2
খ) -1
গ) 3/2
ঘ) 1
সঠিক উত্তর: খ) -1
Live MCQ Analytics™:
ব্যাখ্যা: এই প্রশ্ন সহ কয়েক লাখ প্রশ্নের অথেনটিক ব্যাখ্যা দেখতে Live MCQ অ্যাপ ইন্সটল করুন।
প্রশ্ন ৬৩. The set of points defined by the equation x2 + y2 + z2 = 4 is –
ক) a point
খ) a circle
গ) a line
ঘ) a sphere
সঠিক উত্তর: ঘ) a sphere
Live MCQ Analytics™: সঠিক উত্তরদাতা: 18%, ভুল উত্তরদাতা: 16%, উত্তর করেননি: 64%
ব্যাখ্যা: এই প্রশ্ন সহ কয়েক লাখ প্রশ্নের অথেনটিক ব্যাখ্যা দেখতে Live MCQ অ্যাপ ইন্সটল করুন।
প্রশ্ন ৬৪. Which of the following is an equation which graph is a set of points equidistant from the points {0, 0} and ?
ক) x = 3
খ) y = 3
গ) x = 3y
ঘ) y = 3x
সঠিক উত্তর: ক) x = 3
Live MCQ Analytics™: সঠিক উত্তরদাতা: 10%, ভুল উত্তরদাতা: 6%, উত্তর করেননি: 83%
ব্যাখ্যা: এই প্রশ্ন সহ কয়েক লাখ প্রশ্নের অথেনটিক ব্যাখ্যা দেখতে Live MCQ অ্যাপ ইন্সটল করুন।
প্রশ্ন ৬৫. Which of the following is equivalent to a – b ≥ a + b
ক) a ≤ b
খ) a ≤ 0
গ) b ≤ a
ঘ) b ≤ 0
সঠিক উত্তর: ঘ) b ≤ 0
Live MCQ Analytics™: সঠিক উত্তরদাতা: 28%, ভুল উত্তরদাতা: 10%, উত্তর করেননি: 61%
ব্যাখ্যা: এই প্রশ্ন সহ কয়েক লাখ প্রশ্নের অথেনটিক ব্যাখ্যা দেখতে Live MCQ অ্যাপ ইন্সটল করুন।
প্রশ্ন ৬৬. If m and n are in the domain of the function g and g(m) > g(n), which of the following must be true?
ক) Mn ≠ 0
খ) M > n
গ) M < n
ঘ) m ≠ n
সঠিক উত্তর: ঘ) m ≠ n
Live MCQ Analytics™: সঠিক উত্তরদাতা: 10%, ভুল উত্তরদাতা: 9%, উত্তর করেননি: 79%
ব্যাখ্যা: এই প্রশ্ন সহ কয়েক লাখ প্রশ্নের অথেনটিক ব্যাখ্যা দেখতে Live MCQ অ্যাপ ইন্সটল করুন।
প্রশ্ন ৬৭. If logx2 = a and logx5 = b, then logx50 =
ক) a + b
খ) a + b2
গ) ab2
ঘ) a + 2b
সঠিক উত্তর: ঘ) a + 2b
Live MCQ Analytics™: সঠিক উত্তরদাতা: 16%, ভুল উত্তরদাতা: 14%, উত্তর করেননি: 69%
ব্যাখ্যা: এই প্রশ্ন সহ কয়েক লাখ প্রশ্নের অথেনটিক ব্যাখ্যা দেখতে Live MCQ অ্যাপ ইন্সটল করুন।
প্রশ্ন ৬৮. In a certain office, the human resources department reports that 60% of the employees in the office commute over an hour on average each day, and that and that 25% of those employees, who commute over an hour on average each day commute by train. If an employee at the office is selected at random, what is the probability that the employee commutes over an hour on average by train?
ক) 0.10
খ) 0.15
গ) 0.20
ঘ) 0.25
সঠিক উত্তর: খ) 0.15
Live MCQ Analytics™: সঠিক উত্তরদাতা: 7%, ভুল উত্তরদাতা: 2%, উত্তর করেননি: 90%
ব্যাখ্যা: এই প্রশ্ন সহ কয়েক লাখ প্রশ্নের অথেনটিক ব্যাখ্যা দেখতে Live MCQ অ্যাপ ইন্সটল করুন।
প্রশ্ন ৬৯. To the nearest degree, what is in the measure of the second smallest angle in a right triangle with sides 5,12 and 13?
ক) 23
খ) 45
গ) 47
ঘ) 67
সঠিক উত্তর: ঘ) 67
Live MCQ Analytics™: সঠিক উত্তরদাতা: 9%, ভুল উত্তরদাতা: 10%, উত্তর করেননি: 80%
ব্যাখ্যা: এই প্রশ্ন সহ কয়েক লাখ প্রশ্নের অথেনটিক ব্যাখ্যা দেখতে Live MCQ অ্যাপ ইন্সটল করুন।
প্রশ্ন ৭০. Of the following list of numbers, which has the greatest standard deviation?
ক) 1, 2, 3
খ) 6, 8, 10
গ) 2, 4, 6
ঘ) 4, 7, 10
সঠিক উত্তর: ঘ) 4, 7, 10
Live MCQ Analytics™: সঠিক উত্তরদাতা: 10%, ভুল উত্তরদাতা: 8%, উত্তর করেননি: 81%
ব্যাখ্যা: এই প্রশ্ন সহ কয়েক লাখ প্রশ্নের অথেনটিক ব্যাখ্যা দেখতে Live MCQ অ্যাপ ইন্সটল করুন।
প্রশ্ন ৭১. If A is an integer, which of the following can’t be inferred from the statement below?
ক) If A is a multiple of 5, then A is a multiple of 10
খ) If A is not a multiple of 5, then A is not a multiple of 10
গ) A is a multiple of 10 implies that A is a multiple of 5
ঘ) A necessary condition for A to be a multiple of 10 is that A is a multiple of 5
সঠিক উত্তর: ক) If A is a multiple of 5, then A is a multiple of 10
Live MCQ Analytics™: সঠিক উত্তরদাতা: 7%, ভুল উত্তরদাতা: 7%, উত্তর করেননি: 84%
ব্যাখ্যা: এই প্রশ্ন সহ কয়েক লাখ প্রশ্নের অথেনটিক ব্যাখ্যা দেখতে Live MCQ অ্যাপ ইন্সটল করুন।
প্রশ্ন ৭২. In how many different orders can 8 different colors of flowers be arranged in a straight line?
ক) 8
খ) 64
গ) 40,320
ঘ) 80,640
সঠিক উত্তর: গ) 40,320
Live MCQ Analytics™: সঠিক উত্তরদাতা: 22%, ভুল উত্তরদাতা: 2%, উত্তর করেননি: 75%
ব্যাখ্যা: এই প্রশ্ন সহ কয়েক লাখ প্রশ্নের অথেনটিক ব্যাখ্যা দেখতে Live MCQ অ্যাপ ইন্সটল করুন।
প্রশ্ন ৭৩. If the height of a right square pyramid is increased by 12% by what percent must the side of the base be increased, so that the volume of the pyramid is increased by 28%?
ক) 3%
খ) 7%
গ) 10%
ঘ) 36%
সঠিক উত্তর: খ) 7%
Live MCQ Analytics™: সঠিক উত্তরদাতা: 1%, ভুল উত্তরদাতা: 1%, উত্তর করেননি: 97%
ব্যাখ্যা: এই প্রশ্ন সহ কয়েক লাখ প্রশ্নের অথেনটিক ব্যাখ্যা দেখতে Live MCQ অ্যাপ ইন্সটল করুন।
প্রশ্ন ৭৪. If the second term in an arithmetic sequence is 4 and the tenth term is 15, what is the first term in the sequence?
ক) 1.18
খ) 1.27
গ) 1.38
ঘ) 2.63
সঠিক উত্তর: ঘ) 2.63
Live MCQ Analytics™: সঠিক উত্তরদাতা: 11%, ভুল উত্তরদাতা: 2%, উত্তর করেননি: 85%
ব্যাখ্যা: এই প্রশ্ন সহ কয়েক লাখ প্রশ্নের অথেনটিক ব্যাখ্যা দেখতে Live MCQ অ্যাপ ইন্সটল করুন।
প্রশ্ন ৭৫. In country A, the first 1,000 dollar of any inheritance are untaxed. After the first 1,000 dollar, inheritances are taxed at a rate of 65%. How large must an inheritance be, to the nearest dollar, in order to amount to 2,500 dollar after the inheritance tax?
ক) 7,143
খ) 5,286
গ) 4,475
ঘ) 3,475
সঠিক উত্তর: খ) 5,286
Live MCQ Analytics™: সঠিক উত্তরদাতা: 2%, ভুল উত্তরদাতা: 6%, উত্তর করেননি: 91%
ব্যাখ্যা: এই প্রশ্ন সহ কয়েক লাখ প্রশ্নের অথেনটিক ব্যাখ্যা দেখতে Live MCQ অ্যাপ ইন্সটল করুন।
প্রশ্ন ৭৬.
In an engineering test, a rocket sled is propelled into a target. If the sled’s distance d in meters from the target is given by the formula d = -1.5t2 + 120, where t is the number of seconds after rocket ignition, then how many seconds have passed since rocket ignition when the sled is 10 meters from the target?
ক) 258
খ) 8.56
গ) 8.94
ঘ) 9.31
সঠিক উত্তর: খ) 8.56
Live MCQ Analytics™: সঠিক উত্তরদাতা: 5%, ভুল উত্তরদাতা: 1%, উত্তর করেননি: 93%
ব্যাখ্যা: এই প্রশ্ন সহ কয়েক লাখ প্রশ্নের অথেনটিক ব্যাখ্যা দেখতে Live MCQ অ্যাপ ইন্সটল করুন।
প্রশ্ন ৭৭. If ex = 5, then x = ?
ক) 0.23
খ) 1.61
গ) 1.84
ঘ) 7.76
সঠিক উত্তর: খ) 1.61
Live MCQ Analytics™: সঠিক উত্তরদাতা: 8%, ভুল উত্তরদাতা: 2%, উত্তর করেননি: 89%
ব্যাখ্যা: এই প্রশ্ন সহ কয়েক লাখ প্রশ্নের অথেনটিক ব্যাখ্যা দেখতে Live MCQ অ্যাপ ইন্সটল করুন।
প্রশ্ন ৭৮. A right triangle has sides in the ratio of 5 : 12 : 13. What is in the measure of the smallest angle in a right triangle, in degrees?
ক) 13.34
খ) 22.62
গ) 42.17
ঘ) 34.14
সঠিক উত্তর: খ) 22.62
Live MCQ Analytics™: সঠিক উত্তরদাতা: 8%, ভুল উত্তরদাতা: 5%, উত্তর করেননি: 86%
ব্যাখ্যা: এই প্রশ্ন সহ কয়েক লাখ প্রশ্নের অথেনটিক ব্যাখ্যা দেখতে Live MCQ অ্যাপ ইন্সটল করুন।
প্রশ্ন ৭৯. If k is an integer and k = 462/n, then which of the following could be the value of n?
ক) 4
খ) 5
গ) 9
ঘ) 22
সঠিক উত্তর: ঘ) 22
Live MCQ Analytics™:
ব্যাখ্যা: এই প্রশ্ন সহ কয়েক লাখ প্রশ্নের অথেনটিক ব্যাখ্যা দেখতে Live MCQ অ্যাপ ইন্সটল করুন।
প্রশ্ন ৮০. How many positive integers less than 100 have a remainder of 2 when divided by 13?
ক) 6
খ) 7
গ) 8
ঘ) 9
সঠিক উত্তর: গ) 8
Live MCQ Analytics™: সঠিক উত্তরদাতা: 3%, ভুল উত্তরদাতা: 26%, উত্তর করেননি: 69%
ব্যাখ্যা: এই প্রশ্ন সহ কয়েক লাখ প্রশ্নের অথেনটিক ব্যাখ্যা দেখতে Live MCQ অ্যাপ ইন্সটল করুন।
বাংলাদেশ অর্থনৈতিক অঞ্চল কর্তৃপক্ষ (BEZA) | হিসাব সহকারী/কার্য সহকারী কাম-কম্পিউটার মুদ্রাক্ষরিক পদের প্রশ্ন সমাধান ২০২৪
পরীক্ষার তারিখ: ২৬ জানুয়ারি,২০২৪
প্রশ্ন সংখ্যা: ৭০
প্রশ্ন ১. ‘পায়ের আওয়াজ পাওয়া যায়’ কাব্যনাট্যের মৌল বিষয় কি?
ক) মুক্তিযুদ্ধ
খ) গৃহযুদ্ধ
গ) বিশ্বযুদ্ধ
ঘ) ভাষা আন্দোলন
সঠিক উত্তর: ক) মুক্তিযুদ্ধ
Live MCQ Analytics™: সঠিক উত্তরদাতা: 79%, ভুল উত্তরদাতা: 7%, উত্তর করেননি: 13%
ব্যাখ্যা: ‘পায়ের আওয়াজ পাওয়া যায়’ কাব্যনাট্য:
– ‘পায়ের আওয়াজ পাওয়া যায়’ সৈয়দ শামসুল হক রচিত মুক্তযুদ্ধ বিষয়ক কাব্যনাট্য।
– এটি রচিত হয়েছে ১৯৭৫ সালে।
– এটি বাঙালির মুক্তির চেতনায় উজ্জীবন মূলক নাটক।
– নাটকটিতে ১৯৭১ সালের বাংলাদেশ শত্রু মুক্ত হওয়ার সময়কালে একটি প্রত্যন্ত গ্রামের চিত্র তুলে ধরা হয়েছে।
– পায়ের আওয়াজ পাওয়া যায় মূলত মুক্তিযোদ্ধাদের আগমনের পদধ্বনি।
– কাব্যনাট্যের উল্লেখযোগ্য চরিত্র: মাতব্বর, পির সাহেব, মাতব্বরের মেয়ে, পাইক, গ্রামবাসী, তরুণদল ও মুক্তিযোদ্ধারা।
সৈয়দ শামসুল হক:
– তিনি ১৯৩৫ সালে কুড়িগ্রামে জন্মগ্রহণ করেন।
– তিনি মূলত লেখক হিসেবে সমধিক পরিচিত।
তাঁর রচিত কাব্যনাট্য:
– নুরুলদীনের সারাজীবন।
– পায়ের আওয়াজ পাওয়া যায়।
– এখানে এখন।
তাঁর রচিত গল্পগ্রন্থ:
– তাস।
– শীত বিকেল।
– আনন্দের মৃত্যু।
– প্রাচীন বংশের নিঃস্ব সন্তান।
– জলেশ্বরীর গল্পগুলো।
সৈয়দ শামসুল হকের প্রবন্ধ:
– হৃৎকলমের টানে।
উৎস: বাংলা ভাষা ও সাহিত্য জিজ্ঞাসা, ড. সৌমিত্র শেখর এবং বাংলাপিডিয়া।
প্রশ্ন ২. দুইটি সংখ্যার বর্গের সমষ্টি 181 এবং সংখ্যা দুইটির গুণফল 90 হলে, সংখ্যা দুইটি কত?
ক) 5, 18
খ) 10, 9
গ) 2, 45
ঘ) 6, 15
সঠিক উত্তর: খ) 10, 9
Live MCQ Analytics™: সঠিক উত্তরদাতা: 59%, ভুল উত্তরদাতা: 3%, উত্তর করেননি: 36%
ব্যাখ্যা: প্রশ্ন: দুইটি সংখ্যার বর্গের সমষ্টি 181 এবং সংখ্যা দুইটির গুণফল 90 হলে, সংখ্যা দুইটি কত?
সমাধান:
মনেকরি,
সংখ্যা দুটি x ও y
প্রশ্নমতে
x2 + y2 = 181
xy = 90
আমরা জানি
(x + y)2 = x2 + y2 + 2xy
(x + y)2 = 181 + 2 × 90
(x + y)2 = 181 + 180
(x + y)2 = 361
(x + y)2 = 192
(x + y) = 19………………(1)
আবার
(x – y)2 = x2 + y2 – 2xy
(x – y)2 = 181 – 2 × 90
(x – y)2 = 1
x – y = 1………………….(2)
(1) + (2) ⇒
x + y + x – y = 19 + 1
2x = 20
x = 10
(1) ⇒
x + y = 19
10 + y = 19
y = 9
সংখ্যা দুইটি 10, 9
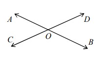
প্রশ্ন ৩. দুইটি সরলরেখা পরস্পর ছেদ করলে কয়টি কোণ তৈরি হয়?
ক) ১টি
খ) ২টি
গ) ৩টি
ঘ) ৪টি
সঠিক উত্তর: ঘ) ৪টি
Live MCQ Analytics™: সঠিক উত্তরদাতা: 63%, ভুল উত্তরদাতা: 10%, উত্তর করেননি: 26%
ব্যাখ্যা: প্রশ্ন: দুইটি সরলরেখা পরস্পর ছেদ করলে কয়টি কোণ তৈরি হয়?
সমাধান:
– দুইটি সরলরেখা কোনো বিন্দুতে পরস্পরকে ছেদ করলে, ছেদ বিন্দুতে দুই জোড়া বিপ্রতীপ কোণ উৎপন্ন হয়।
– দুইটি সরলরেখা পরস্পর ছেদ করলে ৪টি কোণ তৈরী হয়।
প্রশ্ন ৪. 1 – (1/x) = 3 হলে, (x2 + 1)/x2 এর মান কত?
ক) 5
খ) 10
গ) 9
ঘ) 7
সঠিক উত্তর: ক) 5
Live MCQ Analytics™: সঠিক উত্তরদাতা: 23%, ভুল উত্তরদাতা: 14%, উত্তর করেননি: 62%
ব্যাখ্যা: প্রশ্ন: 1 – (1/x) = 3 হলে, (x2 + 1)/x2 এর মান কত?
সমাধান:
1 – 1/x = 3
1 – 3 = 1/x
– 2 = 1/x
x = 1/- 2
(x2 + 1)/x2 = {(1/- 2)2 + 1}/(1/- 2)2
= /(1/4)
= (5/4)/(1/4)
= 5/4 × 4/1
= 5
প্রশ্ন ৫. চর্যাপদের ভাষাকে কে বাংলায় প্রতিপন্ন করেছেন?
ক) সুনীতিকুমার চট্টোপাধ্যায়
খ) বিধু শেখর শাস্ত্রী
গ) হরপ্রসাদ শাস্ত্রী
ঘ) প্রবোধকুমার বাগচী
সঠিক উত্তর: ক) সুনীতিকুমার চট্টোপাধ্যায়
Live MCQ Analytics™: সঠিক উত্তরদাতা: 50%, ভুল উত্তরদাতা: 24%, উত্তর করেননি: 25%
ব্যাখ্যা: চর্যাপদ:
– চর্যাপদের ভাষাকে বলা হয় ‘সন্ধ্যা’ বা ‘সান্ধ্য ভাষা’।
– এ ভাষা কোথাও স্পষ্ট, কোথাও অস্পষ্ট।
– তাই একে ‘আলো-আঁধারি’ ভাষাও বলা হয়।
– চর্যাপদের পদগুলো প্রাচীন কোন ছন্দে রচিত তা আজ বলা সম্ভপর নয়৷ তবে আধুনিক ছন্দের বিচারে এগুলো মাত্রাবৃত্ত ছন্দের অধীনে বিবেচ্য৷
চর্যপদ বিষয়ক গবেষণা:
• বিজয়চন্দ্র মজুমদার ১৯২০ সালে প্রথম চর্যাপদের ভাষা নিয়ে আলোচনা করেন।
• ড. সুনীতিকুমার চট্টোপাধ্যায় ১৯২৬ সালে ভাষা আলোচনা করে স্বীকৃতি দেন যে, চর্যাপদ বাংলা ভাষায় রচিত।
১৯২৬ সালে ড. সুনীতি কুমার চট্টোপাধ্যায় ‘অরিজিন অ্যান্ড ডেভেলোপমেন্ট অব বেঙ্গলি ল্যাঙ্গুয়েজ’ গ্রন্থে সম্পূর্ণ বৈজ্ঞানিক পদ্ধতিতে বিস্তারিতভাবে চর্যাপদের ভাষার ধ্বনিতত্ত্ব, ব্যাকরণ ও ছন্দ বিচার বিশ্লেষণ করে প্রমাণ করেন চর্যাপদ বাংলা ভাষার সম্পদ। অধিকাংশ ভাষাবিজ্ঞানী এ অভিমত সমর্থন করেন।
• ড. প্রবোধচন্দ্র বাগচী, ড. মুহাম্মদ শহীদুল্লাহ, ড. সুকুমার সেন, ড. শশীভূষণ দাশগুপ্ত চর্যাপদের ভাষা, বিষয়বস্তু, প্রভৃতি আলোচনা করে প্রমাণ করেন যে- চর্যাপদ বাংলা ভাষায় রচিত।
• ১৯২৭ সালে ড. মুহম্মদ শহীদুল্লাহ্ সর্বপ্রথম চর্যাপদের ধর্মতত্ত্ব বিশ্লেষণ করেন।
• ১৯৪৬ সালে ড. শশীভূষণ দাশগুপ্ত সহজযান প্রসঙ্গে চর্যাপদের অর্ন্তনিহিত তত্ত্বের ব্যাখ্যা করেন।
• বিহারের বিখ্যাত পণ্ডিত রাহুল সাংকৃত্যায়ন বৌদ্ধ সিদ্ধাচর্য, বৌদ্ধ সহজযান ও চর্যাগীতিকা নিয়ে ইংরেজি ও হিন্দিতে প্রচুর গবেষণা করেন।
উৎস: বাংলা সাহিত্যের ইতিহাস, মাহবুবুল আলম।
প্রশ্ন ৬. ৩০ লিটার পরিমাণ মিশ্রণে এসিড এ পানির অনুপাত ৭ : ৩। ঐ মিশ্রণে কী পরিমাণ পানি মিশ্রিত করলে এসিড ও পানির অনুপাত ৩ : ৭ হবে?
ক) ৩০ লিটার
খ) ৪০ লিটার
গ) ৫০ লিটার
ঘ) ৬০ লিটার
সঠিক উত্তর: খ) ৪০ লিটার
Live MCQ Analytics™: সঠিক উত্তরদাতা: 48%, ভুল উত্তরদাতা: 6%, উত্তর করেননি: 44%
ব্যাখ্যা: এই প্রশ্ন সহ কয়েক লাখ প্রশ্নের অথেনটিক ব্যাখ্যা দেখতে Live MCQ অ্যাপ ইন্সটল করুন।
প্রশ্ন ৭. বাংলাদেশের প্রথম পঞ্চবার্ষিক পরিকল্পনা (First five year plan) কোন মেয়াদকালের জন্য প্রযোজ্য ছিল?
ক) ১৯৯২-১৯৯৭
খ) ১৯৭৩-১৯৭৮
গ) ১৯৭৪-১৯৭৯
ঘ) ১৯৭৫-১৯৮০
সঠিক উত্তর: খ) ১৯৭৩-১৯৭৮
Live MCQ Analytics™: সঠিক উত্তরদাতা: 65%, ভুল উত্তরদাতা: 7%, উত্তর করেননি: 27%
ব্যাখ্যা: এই প্রশ্ন সহ কয়েক লাখ প্রশ্নের অথেনটিক ব্যাখ্যা দেখতে Live MCQ অ্যাপ ইন্সটল করুন।
প্রশ্ন ৮. বাংলাদেশের আর্থিক বছর কোনটি?
ক) জানুয়ারি-ডিসেম্বর
খ) ডিসেম্বর-জানুয়ারি
গ) জুন-জুলাই
ঘ) জুলাই-জুন
সঠিক উত্তর: ঘ) জুলাই-জুন
Live MCQ Analytics™: সঠিক উত্তরদাতা: 49%, ভুল উত্তরদাতা: 28%, উত্তর করেননি: 21%
ব্যাখ্যা: এই প্রশ্ন সহ কয়েক লাখ প্রশ্নের অথেনটিক ব্যাখ্যা দেখতে Live MCQ অ্যাপ ইন্সটল করুন।
প্রশ্ন ৯. ‘খনার বচন’ এর মূলভাব কি?
ক) শুদ্ধ জীবন যাপন রীতি
খ) সামাজিক মঙ্গলবোধ
গ) রাষ্ট্রপরিচালনার নীতি
ঘ) লৌকিক প্রণয় সঙ্গীত
সঠিক উত্তর: ক) শুদ্ধ জীবন যাপন রীতি
Live MCQ Analytics™: সঠিক উত্তরদাতা: 66%, ভুল উত্তরদাতা: 12%, উত্তর করেননি: 21%
ব্যাখ্যা: এই প্রশ্ন সহ কয়েক লাখ প্রশ্নের অথেনটিক ব্যাখ্যা দেখতে Live MCQ অ্যাপ ইন্সটল করুন।
প্রশ্ন ১০. ‘সার্বভৌম’ শব্দের সন্ধি বিচ্ছেদ কোনটি?
ক) ষ্ণ + সর্বভূমি
খ) সর্বভূমি + ষ্ণ
গ) সার্বভৌম + ম
ঘ) সার্ব + ভৌম
সঠিক উত্তর: খ) সর্বভূমি + ষ্ণ
Live MCQ Analytics™: সঠিক উত্তরদাতা: 64%, ভুল উত্তরদাতা: 8%, উত্তর করেননি: 26%
ব্যাখ্যা: এই প্রশ্ন সহ কয়েক লাখ প্রশ্নের অথেনটিক ব্যাখ্যা দেখতে Live MCQ অ্যাপ ইন্সটল করুন।
প্রশ্ন ১১. Which one is a verb?
ক) Advise
খ) Dream
গ) Beautify
ঘ) All of those
সঠিক উত্তর: ঘ) All of those
Live MCQ Analytics™: সঠিক উত্তরদাতা: 50%, ভুল উত্তরদাতা: 25%, উত্তর করেননি: 23%
ব্যাখ্যা: এই প্রশ্ন সহ কয়েক লাখ প্রশ্নের অথেনটিক ব্যাখ্যা দেখতে Live MCQ অ্যাপ ইন্সটল করুন।
প্রশ্ন ১২. বাগযন্ত্রের মধ্যে সবচেয়ে সচল ও সক্রিয় প্রত্যঙ্গ কোনটি?
ক) জিহ্বা
খ) শ্বাসনালী
গ) ফুসফুস
ঘ) ওষ্ঠ
সঠিক উত্তর: ক) জিহ্বা
Live MCQ Analytics™: সঠিক উত্তরদাতা: 55%, ভুল উত্তরদাতা: 17%, উত্তর করেননি: 26%
ব্যাখ্যা: এই প্রশ্ন সহ কয়েক লাখ প্রশ্নের অথেনটিক ব্যাখ্যা দেখতে Live MCQ অ্যাপ ইন্সটল করুন।
প্রশ্ন ১৩. ‘ভুল করা মানুষের স্বভাব’ বাক্যটির সঠিক ইংরেজি অনুবাদ হবে-
ক) To err is human.
খ) To err is a human.
গ) To err is humans.
ঘ) To err are human.
সঠিক উত্তর: ক) To err is human.
Live MCQ Analytics™: সঠিক উত্তরদাতা: 68%, ভুল উত্তরদাতা: 8%, উত্তর করেননি: 22%
ব্যাখ্যা: এই প্রশ্ন সহ কয়েক লাখ প্রশ্নের অথেনটিক ব্যাখ্যা দেখতে Live MCQ অ্যাপ ইন্সটল করুন।
প্রশ্ন ১৪. x2 – x – 12 = 0 সমীকরণের মূলদ্বয় নিচের কোনটি?
ক) 3, – 4
খ) – 3, 4
গ) 3, 4
ঘ) – 3, – 4
সঠিক উত্তর: খ) – 3, 4
Live MCQ Analytics™: সঠিক উত্তরদাতা: 49%, ভুল উত্তরদাতা: 11%, উত্তর করেননি: 39%
ব্যাখ্যা: এই প্রশ্ন সহ কয়েক লাখ প্রশ্নের অথেনটিক ব্যাখ্যা দেখতে Live MCQ অ্যাপ ইন্সটল করুন।
প্রশ্ন ১৫. ‘চেতন’ শব্দের বিপরীত অর্থ প্রকাশ করছে নিচের কোন শব্দটি?
ক) সচেতন
খ) অচেতন
গ) অবচেতন
ঘ) আসচেতন
সঠিক উত্তর: খ) অচেতন
Live MCQ Analytics™: সঠিক উত্তরদাতা: 40%, ভুল উত্তরদাতা: 36%, উত্তর করেননি: 23%
ব্যাখ্যা: এই প্রশ্ন সহ কয়েক লাখ প্রশ্নের অথেনটিক ব্যাখ্যা দেখতে Live MCQ অ্যাপ ইন্সটল করুন।
প্রশ্ন ১৬. ‘স্টপ জেনোসাইড’ কার লেখা?
ক) জহির রায়হান
খ) মুনীর চৌধুরী
গ) অমিয় চক্রবর্তী
ঘ) সুকান্ত ভট্টাচার্য
সঠিক উত্তর: ক) জহির রায়হান
Live MCQ Analytics™: সঠিক উত্তরদাতা: 74%, ভুল উত্তরদাতা: 2%, উত্তর করেননি: 22%
ব্যাখ্যা: এই প্রশ্ন সহ কয়েক লাখ প্রশ্নের অথেনটিক ব্যাখ্যা দেখতে Live MCQ অ্যাপ ইন্সটল করুন।
প্রশ্ন ১৭. Which parts of speech is ‘Book’?
ক) noun
খ) verb
গ) both noun and verb
ঘ) adjective
সঠিক উত্তর: গ) both noun and verb
Live MCQ Analytics™: সঠিক উত্তরদাতা: 45%, ভুল উত্তরদাতা: 31%, উত্তর করেননি: 23%
ব্যাখ্যা: এই প্রশ্ন সহ কয়েক লাখ প্রশ্নের অথেনটিক ব্যাখ্যা দেখতে Live MCQ অ্যাপ ইন্সটল করুন।
প্রশ্ন ১৮. বাগধারা অতীত কালের কোন ঘটনার স্মারক?
ক) আর্থ-সামাজিক
খ) ভূ-রাজনৈতিক
গ) সামাজিক- সাংস্কৃতিক
ঘ) সামাজিক-মানসিক
সঠিক উত্তর: গ) সামাজিক- সাংস্কৃতিক
Live MCQ Analytics™: সঠিক উত্তরদাতা: 50%, ভুল উত্তরদাতা: 14%, উত্তর করেননি: 35%
ব্যাখ্যা: এই প্রশ্ন সহ কয়েক লাখ প্রশ্নের অথেনটিক ব্যাখ্যা দেখতে Live MCQ অ্যাপ ইন্সটল করুন।
প্রশ্ন ১৯. I cannot _____ to pay such high prices.
ক) able
খ) but
গ) try
ঘ) afford
সঠিক উত্তর: ঘ) afford
Live MCQ Analytics™: সঠিক উত্তরদাতা: 48%, ভুল উত্তরদাতা: 27%, উত্তর করেননি: 24%
ব্যাখ্যা: এই প্রশ্ন সহ কয়েক লাখ প্রশ্নের অথেনটিক ব্যাখ্যা দেখতে Live MCQ অ্যাপ ইন্সটল করুন।
প্রশ্ন ২০. Find the correct sentence:
ক) We write by ink.
খ) We write in ink.
গ) We write with ink.
ঘ) We write to ink.
সঠিক উত্তর: খ) We write in ink.
Live MCQ Analytics™: সঠিক উত্তরদাতা: 38%, ভুল উত্তরদাতা: 32%, উত্তর করেননি: 28%
ব্যাখ্যা: এই প্রশ্ন সহ কয়েক লাখ প্রশ্নের অথেনটিক ব্যাখ্যা দেখতে Live MCQ অ্যাপ ইন্সটল করুন।
প্রশ্ন ২১. ১০০ মিটার দীর্ঘ একটি ট্রেনের গতিবেগ ঘন্টায় ৪৮ কিলোমিটার। ঐ ট্রেনটি ৩০ সেকেন্ডে একটি সেতু অতিক্রম করে। সেতুটির দৈর্ঘ্য কত মিটার?
ক) ২৪০
খ) ৩০০
গ) ৩৬০
ঘ) ৪৮০
সঠিক উত্তর: খ) ৩০০
Live MCQ Analytics™: সঠিক উত্তরদাতা: 38%, ভুল উত্তরদাতা: 6%, উত্তর করেননি: 54%
ব্যাখ্যা: এই প্রশ্ন সহ কয়েক লাখ প্রশ্নের অথেনটিক ব্যাখ্যা দেখতে Live MCQ অ্যাপ ইন্সটল করুন।
প্রশ্ন ২২. ‘ব্রায়ান লারা’ কোন দেশের খেলোয়ার?
ক) অস্ট্রেলিয়া
খ) দক্ষিণ আফ্রিকা
গ) জিম্বাবুয়ে
ঘ) কোনটি নয়
সঠিক উত্তর: ঘ) কোনটি নয়
Live MCQ Analytics™: সঠিক উত্তরদাতা: 38%, ভুল উত্তরদাতা: 24%, উত্তর করেননি: 36%
ব্যাখ্যা: এই প্রশ্ন সহ কয়েক লাখ প্রশ্নের অথেনটিক ব্যাখ্যা দেখতে Live MCQ অ্যাপ ইন্সটল করুন।
প্রশ্ন ২৩. ‘বাংলাদেশের স্বাধীনতা যুদ্ধ : দলিলপত্র’ কে সম্পাদনা করেছেন?
ক) ড. আনিসুজ্জামান
খ) ড. আনোয়ার হোসেন
গ) হাসান হাফিজুর রহমান
ঘ) ড. মুনতাসির মামুন
সঠিক উত্তর: গ) হাসান হাফিজুর রহমান
Live MCQ Analytics™: সঠিক উত্তরদাতা: 58%, ভুল উত্তরদাতা: 8%, উত্তর করেননি: 33%
ব্যাখ্যা: এই প্রশ্ন সহ কয়েক লাখ প্রশ্নের অথেনটিক ব্যাখ্যা দেখতে Live MCQ অ্যাপ ইন্সটল করুন।
প্রশ্ন ২৪. সংবিধানের কোন অনুচ্ছেদে রিট আবেদন করা যায়?
ক) ১০১
খ) ১০০
গ) ১০২
ঘ) ১০৪
সঠিক উত্তর: গ) ১০২
Live MCQ Analytics™: সঠিক উত্তরদাতা: 43%, ভুল উত্তরদাতা: 8%, উত্তর করেননি: 47%
ব্যাখ্যা: এই প্রশ্ন সহ কয়েক লাখ প্রশ্নের অথেনটিক ব্যাখ্যা দেখতে Live MCQ অ্যাপ ইন্সটল করুন।
প্রশ্ন ২৫. I spent _____ with the patient.
ক) sometimes.
খ) sometime.
গ) some times
ঘ) some time
সঠিক উত্তর: ঘ) some time
Live MCQ Analytics™: সঠিক উত্তরদাতা: 41%, ভুল উত্তরদাতা: 32%, উত্তর করেননি: 25%
ব্যাখ্যা: এই প্রশ্ন সহ কয়েক লাখ প্রশ্নের অথেনটিক ব্যাখ্যা দেখতে Live MCQ অ্যাপ ইন্সটল করুন।
প্রশ্ন ২৬. ‘His is poor but honest’. In this sentence which is conjunction?
ক) poor
খ) honest
গ) but
ঘ) he
সঠিক উত্তর: গ) but
Live MCQ Analytics™: সঠিক উত্তরদাতা: 73%, ভুল উত্তরদাতা: 1%, উত্তর করেননি: 24%
ব্যাখ্যা: এই প্রশ্ন সহ কয়েক লাখ প্রশ্নের অথেনটিক ব্যাখ্যা দেখতে Live MCQ অ্যাপ ইন্সটল করুন।
প্রশ্ন ২৭. Everybody likes flowers, _______?
ক) does he
খ) doesn’t
গ) can he
ঘ) don’t they
সঠিক উত্তর: ঘ) don’t they
Live MCQ Analytics™: সঠিক উত্তরদাতা: 54%, ভুল উত্তরদাতা: 19%, উত্তর করেননি: 26%
ব্যাখ্যা: এই প্রশ্ন সহ কয়েক লাখ প্রশ্নের অথেনটিক ব্যাখ্যা দেখতে Live MCQ অ্যাপ ইন্সটল করুন।
প্রশ্ন ২৮. কোন পরীক্ষায় ৬৮% পরীক্ষার্থী উত্তীর্ণ হলো। যদি আরো ১৪ জন বেশি উত্তীর্ণ হতো তাহলে পাশের হার ৭৫% হতো। পরীক্ষার্থীর সংখ্যা কত?
ক) ২০০ জন
খ) ১৫০ জন
গ) ২৫০ জন
ঘ) ৩০০ জন
সঠিক উত্তর: ক) ২০০ জন
Live MCQ Analytics™: সঠিক উত্তরদাতা: 39%, ভুল উত্তরদাতা: 4%, উত্তর করেননি: 55%
ব্যাখ্যা: এই প্রশ্ন সহ কয়েক লাখ প্রশ্নের অথেনটিক ব্যাখ্যা দেখতে Live MCQ অ্যাপ ইন্সটল করুন।
প্রশ্ন ২৯. Which is a correct sentence?
ক) I shall avail myself of the opportunity.
খ) I shall avail of the opportunity.
গ) I shall avail for the opportunity.
ঘ) I shall avail the opportunity.
সঠিক উত্তর: ক) I shall avail myself of the opportunity.
Live MCQ Analytics™: সঠিক উত্তরদাতা: 36%, ভুল উত্তরদাতা: 26%, উত্তর করেননি: 37%
ব্যাখ্যা: এই প্রশ্ন সহ কয়েক লাখ প্রশ্নের অথেনটিক ব্যাখ্যা দেখতে Live MCQ অ্যাপ ইন্সটল করুন।
প্রশ্ন ৩০. The antonym of the word ‘Private’ is
ক) Covert
খ) Personal
গ) Public
ঘ) Concealed
সঠিক উত্তর: গ) Public
Live MCQ Analytics™: সঠিক উত্তরদাতা: 67%, ভুল উত্তরদাতা: 5%, উত্তর করেননি: 26%
ব্যাখ্যা: এই প্রশ্ন সহ কয়েক লাখ প্রশ্নের অথেনটিক ব্যাখ্যা দেখতে Live MCQ অ্যাপ ইন্সটল করুন।
প্রশ্ন ৩১. ‘পদ্মা সেতু’ কোন দুটি জেলাকে সংযুক্ত করেছে?
ক) মুন্সিগঞ্জ ও মাদারীপুর।
খ) শরীয়তপুর ও মুন্সিগঞ্জ।
গ) মাদারীপুর ও শরীয়তপুর।
ঘ) কোনটি নয়।
সঠিক উত্তর: খ) শরীয়তপুর ও মুন্সিগঞ্জ।
Live MCQ Analytics™: সঠিক উত্তরদাতা: 56%, ভুল উত্তরদাতা: 16%, উত্তর করেননি: 26%
ব্যাখ্যা: এই প্রশ্ন সহ কয়েক লাখ প্রশ্নের অথেনটিক ব্যাখ্যা দেখতে Live MCQ অ্যাপ ইন্সটল করুন।
প্রশ্ন ৩২. Which of the following spelling correct?
ক) Awetism
খ) Auotism
গ) Autism
ঘ) Auestim
সঠিক উত্তর: গ) Autism
Live MCQ Analytics™: সঠিক উত্তরদাতা: 51%, ভুল উত্তরদাতা: 13%, উত্তর করেননি: 34%
ব্যাখ্যা: এই প্রশ্ন সহ কয়েক লাখ প্রশ্নের অথেনটিক ব্যাখ্যা দেখতে Live MCQ অ্যাপ ইন্সটল করুন।
প্রশ্ন ৩৩. Fill in the blank: I wish, I _______ the wings of a bird.
ক) have
খ) had
গ) were
ঘ) was
সঠিক উত্তর: খ) had
Live MCQ Analytics™: সঠিক উত্তরদাতা: 32%, ভুল উত্তরদাতা: 42%, উত্তর করেননি: 25%
ব্যাখ্যা: এই প্রশ্ন সহ কয়েক লাখ প্রশ্নের অথেনটিক ব্যাখ্যা দেখতে Live MCQ অ্যাপ ইন্সটল করুন।
প্রশ্ন ৩৪. ‘সোয়াচ অব নো গ্রাউন্ড’ কোথায় অবস্থিত?
ক) নাফ নদীতে
খ) যমুনা নদীতে
গ) সন্দ্বীপ চ্যানেলে
ঘ) বঙ্গোপসাগর
সঠিক উত্তর: ঘ) বঙ্গোপসাগর
Live MCQ Analytics™: সঠিক উত্তরদাতা: 72%, ভুল উত্তরদাতা: 2%, উত্তর করেননি: 24%
ব্যাখ্যা: এই প্রশ্ন সহ কয়েক লাখ প্রশ্নের অথেনটিক ব্যাখ্যা দেখতে Live MCQ অ্যাপ ইন্সটল করুন।
প্রশ্ন ৩৫. ‘ডাক্তার ডাক’ বাক্যটির সঠিক ইংরেজি অনুবাদ হবে?
ক) Call to doctor.
খ) Call in a doctor.
গ) Call in doctor.
ঘ) Call doctor.
সঠিক উত্তর: খ) Call in a doctor.
Live MCQ Analytics™: সঠিক উত্তরদাতা: 62%, ভুল উত্তরদাতা: 12%, উত্তর করেননি: 25%
ব্যাখ্যা: এই প্রশ্ন সহ কয়েক লাখ প্রশ্নের অথেনটিক ব্যাখ্যা দেখতে Live MCQ অ্যাপ ইন্সটল করুন।
প্রশ্ন ৩৬. x + y = 7 এবং xy = 12 হলে, x3 + y3 এর মান কত?
ক) 91
খ) 81
গ) 101
ঘ) 85
সঠিক উত্তর: ক) 91
Live MCQ Analytics™: সঠিক উত্তরদাতা: 50%, ভুল উত্তরদাতা: 5%, উত্তর করেননি: 44%
ব্যাখ্যা: এই প্রশ্ন সহ কয়েক লাখ প্রশ্নের অথেনটিক ব্যাখ্যা দেখতে Live MCQ অ্যাপ ইন্সটল করুন।
প্রশ্ন ৩৭. ০, ১, ২, ৫ দিয়ে গঠিত ৪ অংকের বৃহত্তম ও ক্ষুদ্রতম সংখ্যার বিয়োগফল কত?
ক) ৪১৮৫
খ) ৪৫৭৫
গ) ৪২৬৫
ঘ) ৪৩৬৫
সঠিক উত্তর: ক) ৪১৮৫
Live MCQ Analytics™: সঠিক উত্তরদাতা: 54%, ভুল উত্তরদাতা: 1%, উত্তর করেননি: 43%
ব্যাখ্যা: এই প্রশ্ন সহ কয়েক লাখ প্রশ্নের অথেনটিক ব্যাখ্যা দেখতে Live MCQ অ্যাপ ইন্সটল করুন।
প্রশ্ন ৩৮. শামসুর রাহমানের আত্মজীবনী কোনটি?
ক) বিধ্বস্ত নীলিমা
খ) কালে ধূলোয় খেলা
গ) বন্দী শিবির থেকে
ঘ) নিজ বাসভূমে
সঠিক উত্তর: খ) কালে ধূলোয় খেলা
Live MCQ Analytics™: সঠিক উত্তরদাতা: 38%, ভুল উত্তরদাতা: 28%, উত্তর করেননি: 32%
ব্যাখ্যা: এই প্রশ্ন সহ কয়েক লাখ প্রশ্নের অথেনটিক ব্যাখ্যা দেখতে Live MCQ অ্যাপ ইন্সটল করুন।
প্রশ্ন ৩৯. ‘লিসবন’ কোন দেশের রাজধানী?
ক) ইউক্রেন
খ) ইসরাইল
গ) পর্তুগাল
ঘ) ফ্রান্স
সঠিক উত্তর: গ) পর্তুগাল
Live MCQ Analytics™: সঠিক উত্তরদাতা: 67%, ভুল উত্তরদাতা: 4%, উত্তর করেননি: 27%
ব্যাখ্যা: এই প্রশ্ন সহ কয়েক লাখ প্রশ্নের অথেনটিক ব্যাখ্যা দেখতে Live MCQ অ্যাপ ইন্সটল করুন।
প্রশ্ন ৪০. বাংলাদেশ অর্থনৈতিক অঞ্চলের সংক্ষিপ্ত রূপ কোনটি?
ক) ΒΕΡΖΑ
খ) BIDA
গ) BEZA
ঘ) BAZA
সঠিক উত্তর: গ) BEZA
Live MCQ Analytics™: সঠিক উত্তরদাতা: 37%, ভুল উত্তরদাতা: 34%, উত্তর করেননি: 27%
ব্যাখ্যা: এই প্রশ্ন সহ কয়েক লাখ প্রশ্নের অথেনটিক ব্যাখ্যা দেখতে Live MCQ অ্যাপ ইন্সটল করুন।
প্রশ্ন ৪১. সর্বশেষ বিশ্বকাপ ফুটবল কোন দেশে অনুষ্ঠিত হয়েছিল?
ক) কাতার
খ) রাশিয়া
গ) দক্ষিণ আফ্রিকা
ঘ) সৌদি আরব
সঠিক উত্তর: ক) কাতার
Live MCQ Analytics™: সঠিক উত্তরদাতা: 72%, ভুল উত্তরদাতা: 2%, উত্তর করেননি: 24%
ব্যাখ্যা: এই প্রশ্ন সহ কয়েক লাখ প্রশ্নের অথেনটিক ব্যাখ্যা দেখতে Live MCQ অ্যাপ ইন্সটল করুন।
প্রশ্ন ৪২. What is the verb of ‘ability’?
ক) Ableness
খ) Enable
গ) Ably
ঘ) Able
সঠিক উত্তর: খ) Enable
Live MCQ Analytics™: সঠিক উত্তরদাতা: 69%, ভুল উত্তরদাতা: 5%, উত্তর করেননি: 25%
ব্যাখ্যা: এই প্রশ্ন সহ কয়েক লাখ প্রশ্নের অথেনটিক ব্যাখ্যা দেখতে Live MCQ অ্যাপ ইন্সটল করুন।
প্রশ্ন ৪৩. ৩০ মিটার দৈর্ঘ্য এবং ২০ মিটার প্রস্থ বিশিষ্ট একটি আয়তাকার বাগানের চারদিকে ৫ মিটার চওড়া একটি রাস্তা আছে। রাস্তার ক্ষেত্রফল কত বর্গমিটার?
ক) ১,২০০
খ) ৬০০
গ) ১,০০০
ঘ) ৮০০
সঠিক উত্তর: খ) ৬০০
Live MCQ Analytics™: সঠিক উত্তরদাতা: 37%, ভুল উত্তরদাতা: 6%, উত্তর করেননি: 55%
ব্যাখ্যা: এই প্রশ্ন সহ কয়েক লাখ প্রশ্নের অথেনটিক ব্যাখ্যা দেখতে Live MCQ অ্যাপ ইন্সটল করুন।
প্রশ্ন ৪৪. কে বায়ান্নর ভাষা আন্দোলনে শহিদ নন?
ক) সালাম
খ) জব্বার
গ) বরকত
ঘ) আসাদ
সঠিক উত্তর: ঘ) আসাদ
Live MCQ Analytics™: সঠিক উত্তরদাতা: 71%, ভুল উত্তরদাতা: 3%, উত্তর করেননি: 24%
ব্যাখ্যা: এই প্রশ্ন সহ কয়েক লাখ প্রশ্নের অথেনটিক ব্যাখ্যা দেখতে Live MCQ অ্যাপ ইন্সটল করুন।
প্রশ্ন ৪৫. Finding the correct spelling:
ক) Leutenant
খ) Leftenant
গ) Lieutenant
ঘ) Leiutenant
সঠিক উত্তর: গ) Lieutenant
Live MCQ Analytics™: সঠিক উত্তরদাতা: 67%, ভুল উত্তরদাতা: 6%, উত্তর করেননি: 25%
ব্যাখ্যা: এই প্রশ্ন সহ কয়েক লাখ প্রশ্নের অথেনটিক ব্যাখ্যা দেখতে Live MCQ অ্যাপ ইন্সটল করুন।
প্রশ্ন ৪৬.
ক) 12
খ) 48
গ) 36
ঘ) 144
সঠিক উত্তর: ঘ) 144
Live MCQ Analytics™: সঠিক উত্তরদাতা: 43%, ভুল উত্তরদাতা: 6%, উত্তর করেননি: 49%
ব্যাখ্যা: এই প্রশ্ন সহ কয়েক লাখ প্রশ্নের অথেনটিক ব্যাখ্যা দেখতে Live MCQ অ্যাপ ইন্সটল করুন।
প্রশ্ন ৪৭. বঙ্গবন্ধু শেখ মুজিব শিল্পনগরটি কোন জেলায় অবস্থিত?
ক) ফেনী
খ) কক্সবাজার
গ) চট্টগ্রাম
ঘ) a এবং c
সঠিক উত্তর: ঘ) a এবং c
Live MCQ Analytics™: সঠিক উত্তরদাতা: 32%, ভুল উত্তরদাতা: 29%, উত্তর করেননি: 38%
ব্যাখ্যা: এই প্রশ্ন সহ কয়েক লাখ প্রশ্নের অথেনটিক ব্যাখ্যা দেখতে Live MCQ অ্যাপ ইন্সটল করুন।
প্রশ্ন ৪৮. বিধবা বিবাহ আইন প্রচলনে কার অবদান ছিল?
ক) রাজা রামমোহন রায়
খ) ঈশ্বরচন্দ্র বিদ্যাসাগর
গ) মৃত্যঞ্জয় বিদ্যালংকার
ঘ) দেবেন্দ্রনাথ ঠাকুর
সঠিক উত্তর: খ) ঈশ্বরচন্দ্র বিদ্যাসাগর
Live MCQ Analytics™: সঠিক উত্তরদাতা: 62%, ভুল উত্তরদাতা: 12%, উত্তর করেননি: 24%
ব্যাখ্যা: এই প্রশ্ন সহ কয়েক লাখ প্রশ্নের অথেনটিক ব্যাখ্যা দেখতে Live MCQ অ্যাপ ইন্সটল করুন।
প্রশ্ন ৪৯. ‘সবার উপরে মানুষ সত্য, তাহার উপরে নাই’ কে বলেছেন?
ক) চণ্ডীদাস
খ) বিদ্যাপতি
গ) রামকৃষ্ণ পরমহংস
ঘ) বিবেকানন্দ
সঠিক উত্তর: ক) চণ্ডীদাস
Live MCQ Analytics™: সঠিক উত্তরদাতা: 68%, ভুল উত্তরদাতা: 6%, উত্তর করেননি: 25%
ব্যাখ্যা: এই প্রশ্ন সহ কয়েক লাখ প্রশ্নের অথেনটিক ব্যাখ্যা দেখতে Live MCQ অ্যাপ ইন্সটল করুন।
প্রশ্ন ৫০. বাংলা সাহিত্যের প্রাচীনতম কবি
ক) কাহ্নপা
খ) লুইপা
গ) সরহপা
ঘ) শবরপা
সঠিক উত্তর: ঘ) শবরপা
Live MCQ Analytics™: সঠিক উত্তরদাতা: 8%, ভুল উত্তরদাতা: 65%, উত্তর করেননি: 25%
ব্যাখ্যা: এই প্রশ্ন সহ কয়েক লাখ প্রশ্নের অথেনটিক ব্যাখ্যা দেখতে Live MCQ অ্যাপ ইন্সটল করুন।
প্রশ্ন ৫১. বাংলা ভাষায় প্রচলিত যতিচিহ্নগুলোর মধ্যে ‘উদ্ধারচিহ্ন’ এর কাজ কী?
ক) বিস্ময় প্রকাশ
খ) শব্দসংক্ষেপ
গ) উদাহরণ উপস্থাপন করা
ঘ) উদ্ধৃত করা
সঠিক উত্তর: ঘ) উদ্ধৃত করা
Live MCQ Analytics™: সঠিক উত্তরদাতা: 43%, ভুল উত্তরদাতা: 17%, উত্তর করেননি: 39%
ব্যাখ্যা: এই প্রশ্ন সহ কয়েক লাখ প্রশ্নের অথেনটিক ব্যাখ্যা দেখতে Live MCQ অ্যাপ ইন্সটল করুন।
প্রশ্ন ৫২. নিম্নের কোনটি বাণিজ্যিক ব্যাংকের কাজ নয়?
ক) আমানত গ্রহণ
খ) নোট ছাপানো
গ) ঋণদান
ঘ) মুনাফা অর্জন
সঠিক উত্তর: খ) নোট ছাপানো
Live MCQ Analytics™: সঠিক উত্তরদাতা: 65%, ভুল উত্তরদাতা: 6%, উত্তর করেননি: 28%
ব্যাখ্যা: এই প্রশ্ন সহ কয়েক লাখ প্রশ্নের অথেনটিক ব্যাখ্যা দেখতে Live MCQ অ্যাপ ইন্সটল করুন।
প্রশ্ন ৫৩. দুই অংক বিশিষ্ট একটি সংখ্যার এককের অংক দশকের অংকে অপেক্ষা ৩ বেশি। সংখ্যাটি এর অংকদ্বয়ের সমষ্টির তিনগুণ অপেক্ষা ৪ বেশি। সংখ্যাটি কত?
ক) ৩৬
খ) ২৫
গ) ৪৭
ঘ) ১৪
সঠিক উত্তর: খ) ২৫
Live MCQ Analytics™: সঠিক উত্তরদাতা: 39%, ভুল উত্তরদাতা: 5%, উত্তর করেননি: 55%
ব্যাখ্যা: এই প্রশ্ন সহ কয়েক লাখ প্রশ্নের অথেনটিক ব্যাখ্যা দেখতে Live MCQ অ্যাপ ইন্সটল করুন।
প্রশ্ন ৫৪. Smoking is detrimental _____ health.
ক) for
খ) with
গ) to
ঘ) after
সঠিক উত্তর: গ) to
Live MCQ Analytics™: সঠিক উত্তরদাতা: 60%, ভুল উত্তরদাতা: 12%, উত্তর করেননি: 27%
ব্যাখ্যা: এই প্রশ্ন সহ কয়েক লাখ প্রশ্নের অথেনটিক ব্যাখ্যা দেখতে Live MCQ অ্যাপ ইন্সটল করুন।
প্রশ্ন ৫৫. জাতীয় শোক দিবস-
ক) ২৬ মার্চ
খ) ১৫ আগস্ট
গ) ১৬ ডিসেম্বর
ঘ) ২১ ফেব্রুয়ারি
সঠিক উত্তর: খ) ১৫ আগস্ট
Live MCQ Analytics™: সঠিক উত্তরদাতা: 73%, ভুল উত্তরদাতা: 1%, উত্তর করেননি: 24%
ব্যাখ্যা: এই প্রশ্ন সহ কয়েক লাখ প্রশ্নের অথেনটিক ব্যাখ্যা দেখতে Live MCQ অ্যাপ ইন্সটল করুন।
প্রশ্ন ৫৬. ‘হনন করার ইচ্ছা’- এর বাক্য সংকোচন কোনটি?
ক) হন্তা
খ) দুস্তর
গ) জিঘাংসা
ঘ) জিতেন্দ্রিয়
সঠিক উত্তর: গ) জিঘাংসা
Live MCQ Analytics™: সঠিক উত্তরদাতা: 72%, ভুল উত্তরদাতা: 2%, উত্তর করেননি: 25%
ব্যাখ্যা: এই প্রশ্ন সহ কয়েক লাখ প্রশ্নের অথেনটিক ব্যাখ্যা দেখতে Live MCQ অ্যাপ ইন্সটল করুন।
প্রশ্ন ৫৭. ১২ জন কৃষকের একটি জমির ফসল কাটতে ১৪ দিন লাগল। ২১ জন কৃষকের ঐ জমির ফসল কাটতে কত দিন লাগবে?
ক) ৬ দিন
খ) ৮ দিন
গ) ৯ দিন
ঘ) ১১ দিন
সঠিক উত্তর: খ) ৮ দিন
Live MCQ Analytics™: সঠিক উত্তরদাতা: 52%, ভুল উত্তরদাতা: 3%, উত্তর করেননি: 43%
ব্যাখ্যা: এই প্রশ্ন সহ কয়েক লাখ প্রশ্নের অথেনটিক ব্যাখ্যা দেখতে Live MCQ অ্যাপ ইন্সটল করুন।
প্রশ্ন ৫৮. ১ + ৩ + ৫ + ……………. + ১৯ = কত?
ক) ৯৮
খ) ১০১
গ) ৯৯
ঘ) ১০০
সঠিক উত্তর: ঘ) ১০০
Live MCQ Analytics™: সঠিক উত্তরদাতা: 40%, ভুল উত্তরদাতা: 6%, উত্তর করেননি: 53%
ব্যাখ্যা: এই প্রশ্ন সহ কয়েক লাখ প্রশ্নের অথেনটিক ব্যাখ্যা দেখতে Live MCQ অ্যাপ ইন্সটল করুন।
প্রশ্ন ৫৯. ‘তটিনি’ শব্দের প্রতিশব্দ নয় কোনটি?
ক) কল্লোলিনী
খ) নির্ঝরনী
গ) প্রবাহিনী
ঘ) বনিতা
সঠিক উত্তর: ঘ) বনিতা
Live MCQ Analytics™: সঠিক উত্তরদাতা: 56%, ভুল উত্তরদাতা: 12%, উত্তর করেননি: 31%
ব্যাখ্যা: এই প্রশ্ন সহ কয়েক লাখ প্রশ্নের অথেনটিক ব্যাখ্যা দেখতে Live MCQ অ্যাপ ইন্সটল করুন।
প্রশ্ন ৬০. He was _____ to die.
ক) in
খ) since
গ) from
ঘ) about
সঠিক উত্তর: ঘ) about
Live MCQ Analytics™: সঠিক উত্তরদাতা: 53%, ভুল উত্তরদাতা: 13%, উত্তর করেননি: 33%
ব্যাখ্যা: এই প্রশ্ন সহ কয়েক লাখ প্রশ্নের অথেনটিক ব্যাখ্যা দেখতে Live MCQ অ্যাপ ইন্সটল করুন।
প্রশ্ন ৬১. I congratulated him _____ his success.
ক) for
খ) on
গ) to
ঘ) at
সঠিক উত্তর: খ) on
Live MCQ Analytics™: সঠিক উত্তরদাতা: 49%, ভুল উত্তরদাতা: 24%, উত্তর করেননি: 26%
ব্যাখ্যা: এই প্রশ্ন সহ কয়েক লাখ প্রশ্নের অথেনটিক ব্যাখ্যা দেখতে Live MCQ অ্যাপ ইন্সটল করুন।
প্রশ্ন ৬২. Do you mind if I _____ a phone call?
ক) do
খ) make
গ) done
ঘ) making
সঠিক উত্তর: খ) make
Live MCQ Analytics™: সঠিক উত্তরদাতা: 44%, ভুল উত্তরদাতা: 26%, উত্তর করেননি: 28%
ব্যাখ্যা: এই প্রশ্ন সহ কয়েক লাখ প্রশ্নের অথেনটিক ব্যাখ্যা দেখতে Live MCQ অ্যাপ ইন্সটল করুন।
প্রশ্ন ৬৩. ‘সকলের তরে সকলে আমরা/ প্রত্যেকে আমরা পরের তরে’- কার রচনা-
ক) রজনীকান্ত সেন
খ) ইসমাইল হোসেন সিরাজী
গ) কামিনী রায়
ঘ) দ্বিজেন্দ্রলাল রায়
সঠিক উত্তর: গ) কামিনী রায়
Live MCQ Analytics™: সঠিক উত্তরদাতা: 61%, ভুল উত্তরদাতা: 10%, উত্তর করেননি: 28%
ব্যাখ্যা: এই প্রশ্ন সহ কয়েক লাখ প্রশ্নের অথেনটিক ব্যাখ্যা দেখতে Live MCQ অ্যাপ ইন্সটল করুন।
প্রশ্ন ৬৪. ‘পাখির নীড়ের মত চোখ’ বাংলা কাব্যে সুন্দরী নারীর চোখের এই অনবদ্য ও অনিন্দ্যসুন্দর উপমার স্রষ্টা কে?
ক) বিষ্ণু দে
খ) অমিয় চক্রবর্তী
গ) সুধীন দত্ত
ঘ) জীবনানন্দ দাস
সঠিক উত্তর: ঘ) জীবনানন্দ দাস
Live MCQ Analytics™: সঠিক উত্তরদাতা: 59%, ভুল উত্তরদাতা: 4%, উত্তর করেননি: 35%
ব্যাখ্যা: এই প্রশ্ন সহ কয়েক লাখ প্রশ্নের অথেনটিক ব্যাখ্যা দেখতে Live MCQ অ্যাপ ইন্সটল করুন।
প্রশ্ন ৬৫. তিন ভাই বোনের বয়সের গড় ১৬ বছর। যদি পিতাসহ তিন ভাই বোনের বয়সের গড় ২৫ বছর হয়, তাহলে পিতার বয়স কত?
ক) ৪৮ বছর
খ) ৫০ বছর
গ) ৫২ বছর
ঘ) ৬০ বছর
সঠিক উত্তর: গ) ৫২ বছর
Live MCQ Analytics™: সঠিক উত্তরদাতা: 54%, ভুল উত্তরদাতা: 1%, উত্তর করেননি: 43%
ব্যাখ্যা: এই প্রশ্ন সহ কয়েক লাখ প্রশ্নের অথেনটিক ব্যাখ্যা দেখতে Live MCQ অ্যাপ ইন্সটল করুন।
প্রশ্ন ৬৬. কাজী নজরুল ইসলামের প্রথম নিষিদ্ধকৃত গ্রন্থ কোনটি?
ক) ভাঙ্গার গান
খ) প্রলয় শিখা
গ) বিষের বাঁশি
ঘ) যুগবানী
সঠিক উত্তর: ঘ) যুগবানী
Live MCQ Analytics™: সঠিক উত্তরদাতা: 38%, ভুল উত্তরদাতা: 30%, উত্তর করেননি: 30%
ব্যাখ্যা: এই প্রশ্ন সহ কয়েক লাখ প্রশ্নের অথেনটিক ব্যাখ্যা দেখতে Live MCQ অ্যাপ ইন্সটল করুন।
প্রশ্ন ৬৭. ‘নিবৃত’ ও ‘নিভৃত’ – শব্দজোড়ের মধ্যে মিল কোথায়?
ক) উচ্চারণে
খ) বানানে
গ) অর্থে
ঘ) শব্দশ্রেণিতে
সঠিক উত্তর: ক) উচ্চারণে
Live MCQ Analytics™: সঠিক উত্তরদাতা: 23%, ভুল উত্তরদাতা: 37%, উত্তর করেননি: 38%
ব্যাখ্যা: এই প্রশ্ন সহ কয়েক লাখ প্রশ্নের অথেনটিক ব্যাখ্যা দেখতে Live MCQ অ্যাপ ইন্সটল করুন।
প্রশ্ন ৬৮. Find the correct spelling:
ক) repitition
খ) repeatition
গ) repetition
ঘ) ropeatition
সঠিক উত্তর: গ) repetition
Live MCQ Analytics™: সঠিক উত্তরদাতা: 43%, ভুল উত্তরদাতা: 25%, উত্তর করেননি: 31%
ব্যাখ্যা: এই প্রশ্ন সহ কয়েক লাখ প্রশ্নের অথেনটিক ব্যাখ্যা দেখতে Live MCQ অ্যাপ ইন্সটল করুন।
প্রশ্ন ৬৯. পৃথিবীর বৃহত্তম হ্রদ ‘কাস্পিয়ান সাগর’ কোন মহাদেশে অবস্থিত?
ক) আফ্রিকা
খ) উত্তর আমেরিকা
গ) এশিয়া
ঘ) অস্ট্রেলিয়া
সঠিক উত্তর: গ) এশিয়া
Live MCQ Analytics™: সঠিক উত্তরদাতা: 35%, ভুল উত্তরদাতা: 26%, উত্তর করেননি: 37%
ব্যাখ্যা: এই প্রশ্ন সহ কয়েক লাখ প্রশ্নের অথেনটিক ব্যাখ্যা দেখতে Live MCQ অ্যাপ ইন্সটল করুন।
প্রশ্ন ৭০. ২০২৪ সালে অনুষ্ঠিত জাতীয় সংসদ নির্বাচন কত তম?
ক) ১২
খ) ১১
গ) ১৩
ঘ) ১০
সঠিক উত্তর: ক) ১২
Live MCQ Analytics™: সঠিক উত্তরদাতা: 67%, ভুল উত্তরদাতা: 6%, উত্তর করেননি: 25%
ব্যাখ্যা: এই প্রশ্ন সহ কয়েক লাখ প্রশ্নের অথেনটিক ব্যাখ্যা দেখতে Live MCQ অ্যাপ ইন্সটল করুন।




