৫০তম বিসিএস প্রিলিমিনারি পরীক্ষার প্রশ্ন | 50th BCS Preliminary Question 2026

প্রিয় চাকরিপ্রত্যাশীগণ, ৫০তম বিসিএস প্রিলিমিনারি পরীক্ষার প্রশ্ন সংক্রান্ত ব্লগে আপনাদের স্বাগতম। আপনারা জানেন, ৩০ জানুয়ারি ২০২৬ তারিখে ৫০তম বিসিএস প্রিলিমিনারি পরীক্ষা অনুষ্ঠিত হয়েছে। আপনারা যারা বিসিএস পরীক্ষার জন্য প্রস্তুতি নিচ্ছেন বিশেষত তাদের ক্ষেত্রে মূল পরীক্ষার প্রশ্ন সম্পর্কে ধারণা রাখা অত্যন্ত গুরুত্বপূর্ণ। কেননা মূল পরীক্ষার প্রশ্নের উপর ধারণা থাকলে প্রশ্নের ধরণ, মানবন্টন বুঝে সে অনুসারে কিভাবে প্রস্তুতি নিতে হবে কেমন সময় নিতে হবে ইত্যাদি বিস্তারিত বিষয়সমূহে স্পষ্ট ধারণা পাওয়া যায়। আজকের ব্লগে আমরা ৫০তম বিসিএস প্রিলিমিনারি পরীক্ষার প্রশ্ন [50th BCS Preliminary Question 2026] প্রকাশ করেছি।
উল্লেখ্য যে, Live MCQ অ্যাপে ৫০তম বিসিএস প্রিলিমিনারি পরীক্ষার প্রশ্নের উপর লাইভ পরীক্ষা অনুষ্ঠিত হয়েছে। উক্ত মূল পরীক্ষার প্রশ্নপত্রের অথেনটিক রেফারেন্স অনুসারে ব্যাখ্যাসহ সমাধান প্রকাশ করা হয়েছে। Analysis আজ সন্ধ্যার মধ্যেই প্রকাশ করা হবে
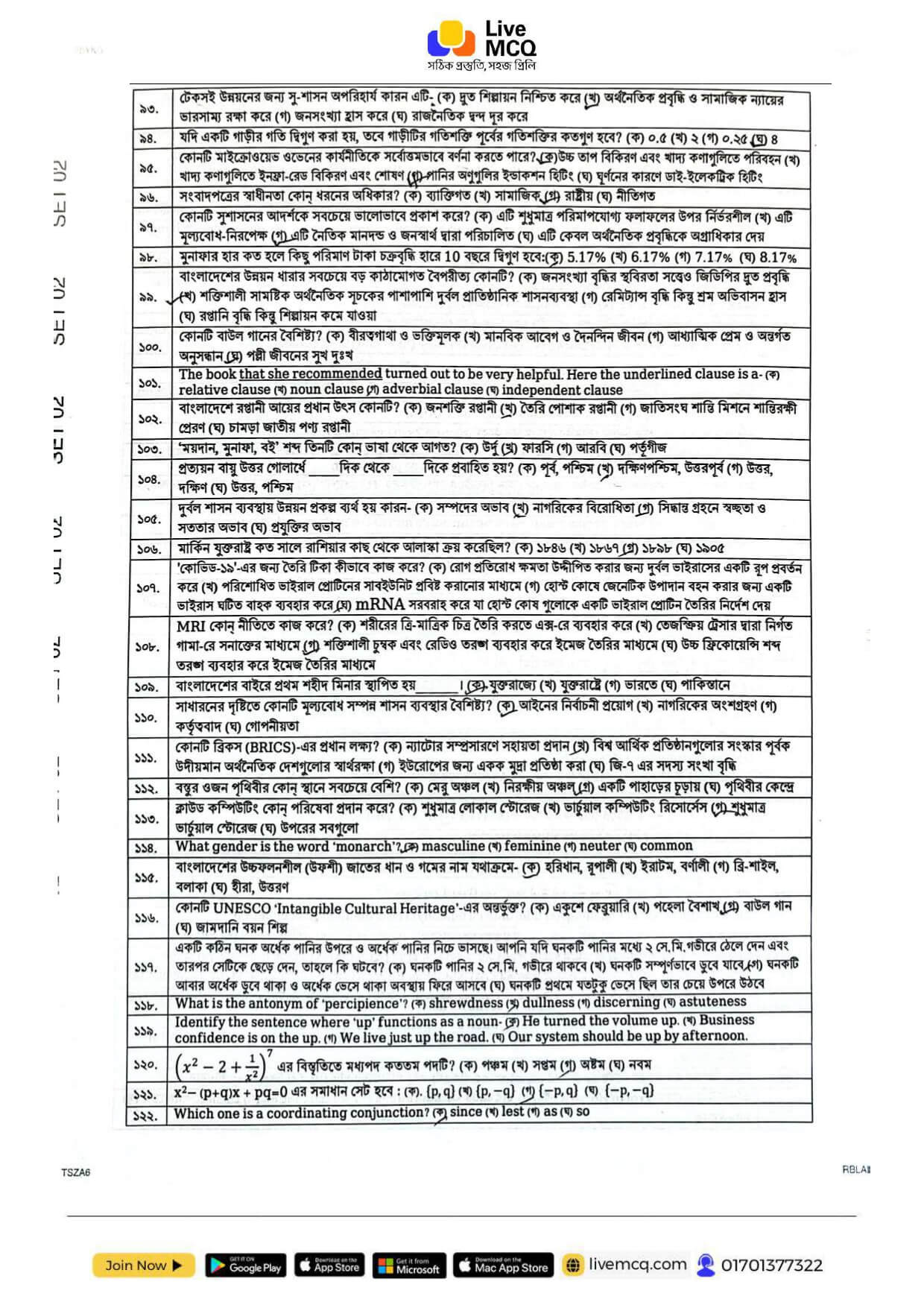
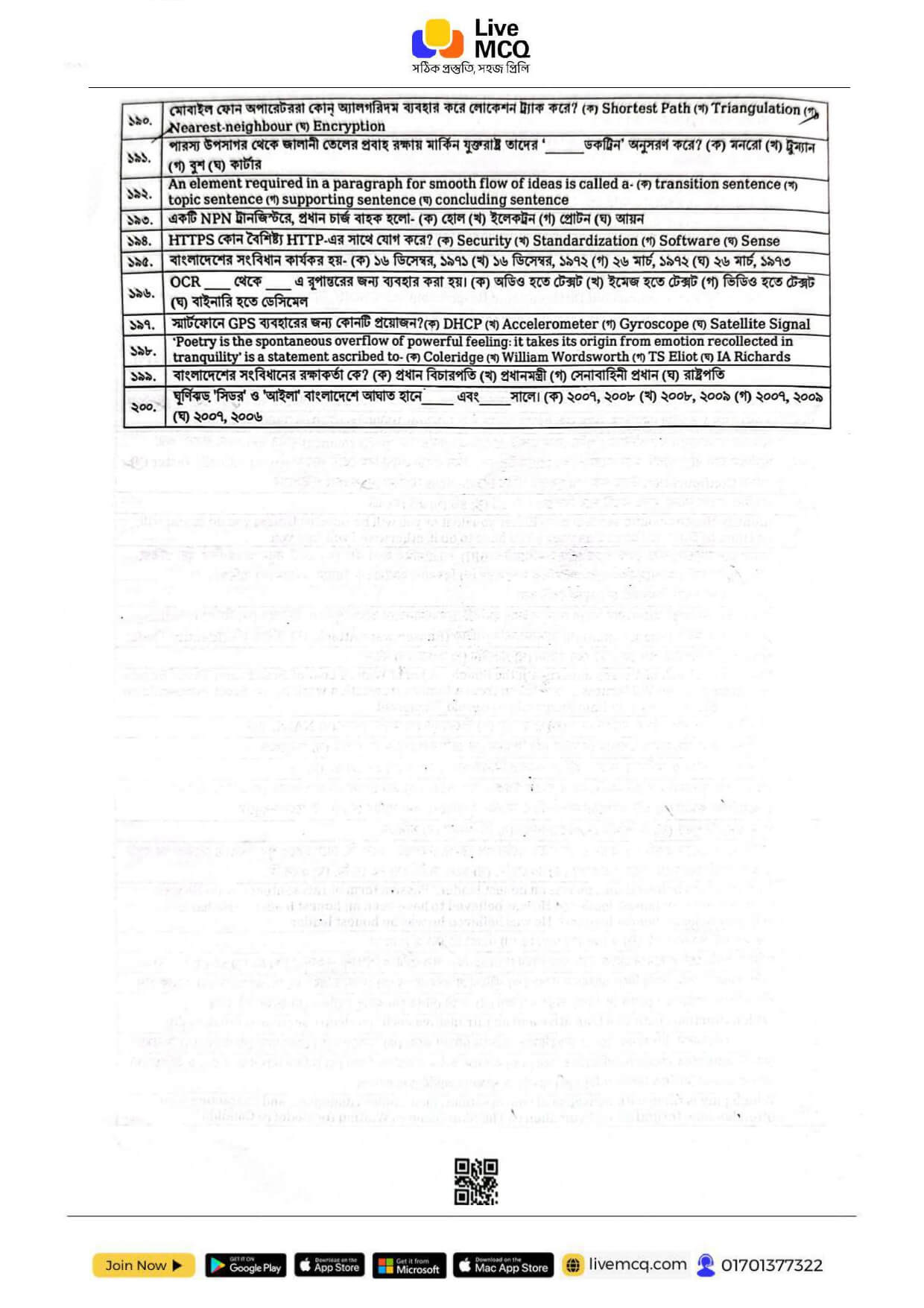
৫০তম বিসিএস প্রিলিমিনারি পরীক্ষার প্রশ্ন দেখুন











